Đăng nhập để hỏi chi tiết


Hãy luôn nhớ cảm ơn và vote 5*
nếu câu trả lời hữu ích nhé!
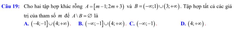
Để `A\\B=` $\varnothing$ thì: `A⊂B`
`->{(m-1<2m+3),(m-1>3),(2m+3>=1):}`
`->{(m> -4),(m>4),(m>=-1):}`
`->m>4` hay `(4;+oo)`
`->D`
Hãy giúp mọi người biết câu trả lời này thế nào?
Bảng tin