Đăng nhập để hỏi chi tiết


Hãy luôn nhớ cảm ơn và vote 5*
nếu câu trả lời hữu ích nhé!
Đáp án:
`bbD`
Giải thích các bước giải:
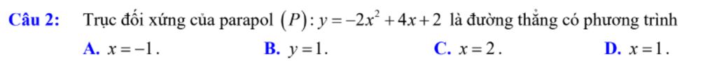
Câu `2:`
Ta cho Parabol `(P):y=-2x^{2}+4x+2`
Có: `a=-2;b=4;c=2`
Ta có: Trục đối xứng là: `x=-\frac{b}{2a}=-\frac{4}{2.(-2)}=4/4=1`
`->` Ta chọn đáp án: `bbD`
Hãy giúp mọi người biết câu trả lời này thế nào?
Bảng tin