Vui lòng chỉ chọn một câu hỏi
Hoidap247.com Nhanh chóng, chính xác
+
Danh mục mới
0
giúp tớ giải chi tiết vớiii ạ
Hãy luôn nhớ cảm ơn và vote 5* nếu câu trả lời hữu ích nhé!
1423
26305
1344
Đáp án$+$Giải thích các bước giải:
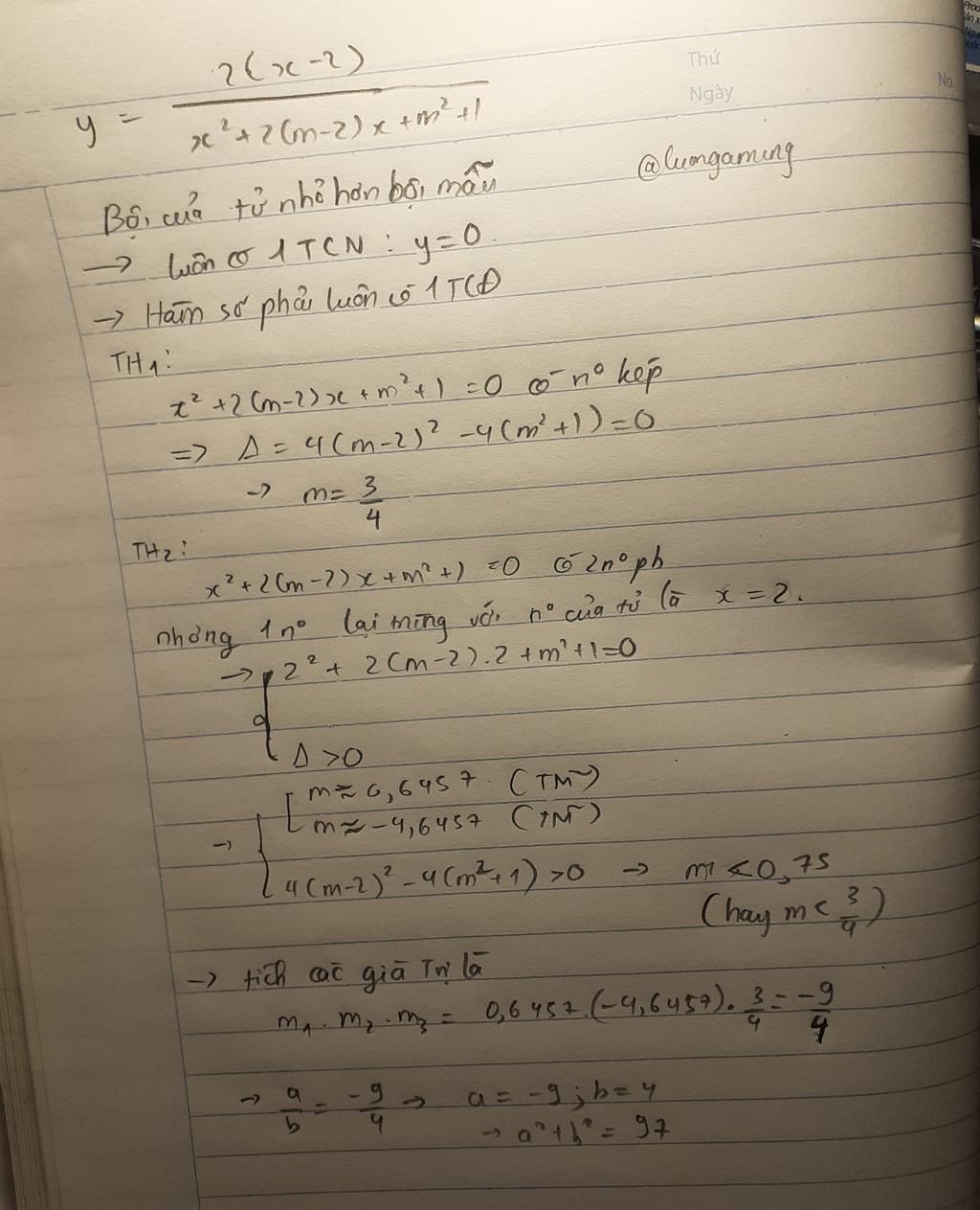
Bạn xem hình bên dưới nhé↓
$1$ Ảnh
Hãy giúp mọi người biết câu trả lời này thế nào?
Bảng tin
Gửi yêu cầu Hủy