

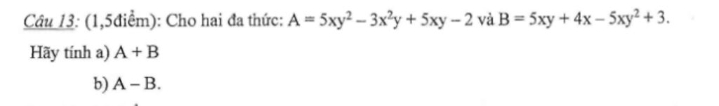
Câu 13: (1,5┤ diểm): Cho hai đa thức: `A=5xy^2-3x^2 y+5xy-2` và `B=5xy+4x-5xy^2+3`. Hãy tính
`a) A + B`
`b) A-B.`
Hãy luôn nhớ cảm ơn và vote 5*
nếu câu trả lời hữu ích nhé!

Đáp án:
`A+B= -3x^2y+10xy+4x+1`
`A-B=10xy^2-3x^2y-4x-5`
Giải thích các bước giải:
`a)`
`A+B=(5xy^2-3x^2y+5xy-2)+(5xy+4x-5xy^2+3)`
`= (5xy^2-5xy^2) + (-3x^2y)+(5xy+5xy)+4x+(-2+3)`
`= -3x^2y+10xy+4x+1`
`A-B=(5xy^2-3x^2y+5xy-2)-(5xy+4x-5xy^2+3)`
`=(5xy^2+5xy^2) +(-3x^2y)+(5xy-5xy)+(-4x)+(-2-3)`
`= 10xy^2-3x^2y-4x-5`
Hãy giúp mọi người biết câu trả lời này thế nào?
`@` Chyngynz
Đáp án:
a) `A+B=(5xy^2-3x^2y+5xy-2)+(5xy+4x-5xy^2+3)`
`A+B=5xy^2-3x^2y+5xy-2+5xy+4x-5xy^2+3`
`A+B=(5xy^2-5xy^2)-3x^2y+(5xy+5xy)+4x-(2-3)`
`A+B=-3x^2y+10xy+4x+1`
b) `A-B=(5xy^2-3x^2y+5xy-2)-(5xy+4x-5xy^2+3)`
`A-B=5xy^2-3x^2y+5xy-2-5xy-4x+5xy^2-3`
`A-B=(5xy^2+5xy^2)-3x^2y+(5xy-5xy)-4x-(2+3)`
`A-B=10xy^2-3x^2y-4x-5`
Hãy giúp mọi người biết câu trả lời này thế nào?
Bảng tin