

Giải chi tiết nha ah, t ms hc nên mn lm tắt là k hiểu j luôn
Giải các phương trình sau
Hãy luôn nhớ cảm ơn và vote 5*
nếu câu trả lời hữu ích nhé!
Đáp án:
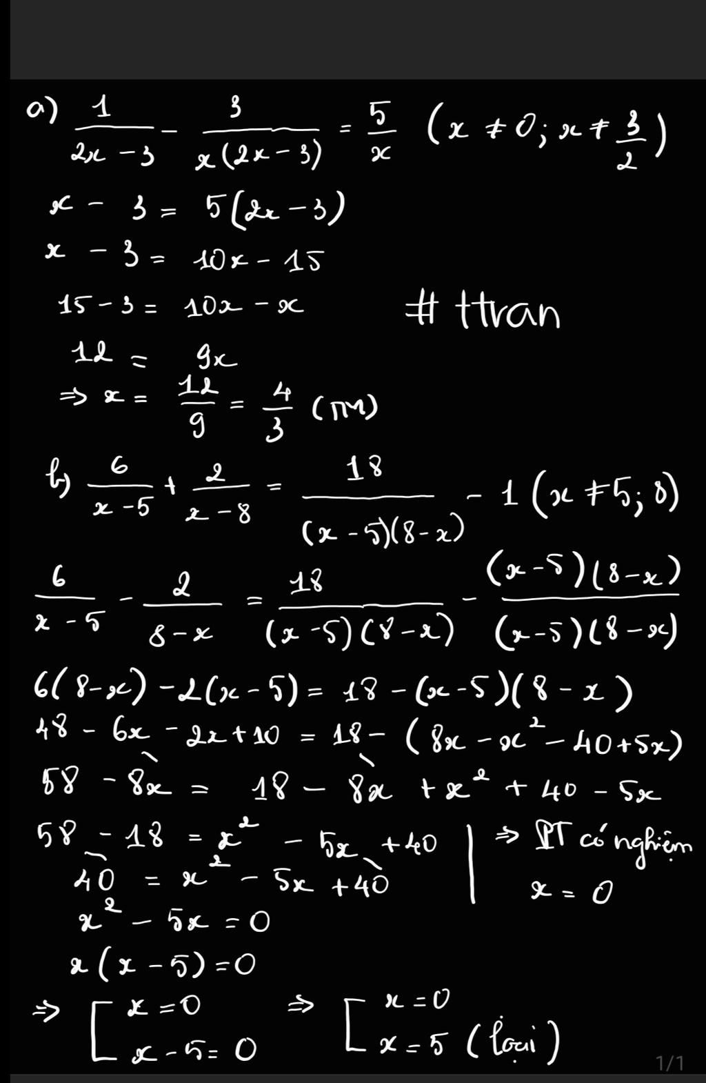
`a)S={4/3}`
`b)S={0}`
Giải thích các bước giải:
`a)`
`\frac{1}{2x-3}-\frac{3}{x.(2x-3)}=5/x`
`(đk:x\ne0;x\ne 3/2)`
`<=>\frac{x}{x.(2x-3)}-\frac{3}{x.(2x-3)}=\frac{5.(2x-3)}{x.(2x-3)}`
`=>x-3=5.(2x-3)`
`<=>10x-15=x-3`
`<=>10x-x=-3+15`
`<=>9x=12`
`<=>x=4/3(tmđk)`
Vậy `S={4/3}`
`b)`
`\frac{6}{x-5}+\frac{2}{x-8}=\frac{18}{(x-5).(8-x)}-1`
`(đk:x\ne5;x\ne8)`
`<=>\frac{6.(x-8)}{(x-5).(x-8)}+\frac{2.(x-5)}{(x-5).(x-8)}=\frac{-18}{(x-5).(x-8)}-\frac{(x-5).(x-8)}{(x-5).(x-8)}`
`=>6x-48+2x-10=-18-[x.(x-8)-5.(x-8)]`
`<=>-18-(x^{2}-8x-5x+40)=8x-58`
`<=>-18-x^{2}+13x-40-8x+58=0`
`<=>-x^{2}+5x=0`
`<=>-x.(x-5)=0`
`<=>-x=0` hoặc `x-5=0`
`<=>x=0(tmđk)` hoặc `x=5(ktmđk)`
Vậy `S={0}.`
Hãy giúp mọi người biết câu trả lời này thế nào?
Bảng tin