

Hãy luôn nhớ cảm ơn và vote 5*
nếu câu trả lời hữu ích nhé!
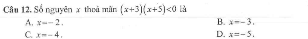
Ta có:
`(x + 3)(x + 5) < 0`
`<=> {(x + 3 < 0),(x + 5 > 0):}`
`<=> {(x < -3),(x > -5):}`
`<=> -5 < x < -3`
hoặc
`(x + 3)(x + 5) < 0`
`<=> {(x + 3 > 0),(x + 5 < 0):}`
`<=> {(x > -3),(x < -5):}`
`->` Vô lí
Vậy `-5 < x < -3`
`=> x = -4` thỏa mãn
`=> C`
Hãy giúp mọi người biết câu trả lời này thế nào?
`A. x = -2 => (-2+3)(-2+5) = 1 . 3 = 3 >0(L)`
`B. x = -2 => (-4+3)(-4+5) = (-1) . 1 = -1 <0(N)`
`C. x = -3 => (-3+3)(-3+5) = 0 (L)`
`D. x = -5 => (-5+3)(-5+5) = 0(L)`
Vậy chọn `B`
Hãy giúp mọi người biết câu trả lời này thế nào?
Bảng tin