

Hãy luôn nhớ cảm ơn và vote 5*
nếu câu trả lời hữu ích nhé!
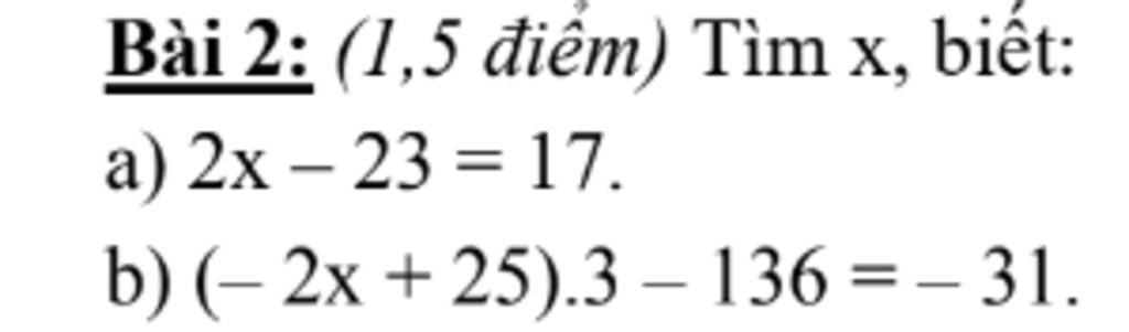
Bài `2:`
`a) 2x-23=17`
`=> 2x=17+23`
`=> 2x=40`
`=> x=40:2`
`=> x=20`
Vậy `x=20`
`b) (-2x + 25) . 3 - 136 = -31`
`=> (-2x +25) . 3 = -31+136`
`=> (-2x+25) . 3 = 105`
`=> -2x+25=105:3`
`=> -2x+25=35`
`=> -2x=35-25`
`=> -2x=10`
`=> x=10:(-2)`
`=> x=-5`
Vậy `x=-5`
Hãy giúp mọi người biết câu trả lời này thế nào?
Đáp án+Giải thích các bước giải:
`a)`
`2x-23=17`
`=>2x=17+23`
`=>2x=40`
`=>x=40:2`
`=>x=20`
Vậy `x=20`
`b)`
`(-2x+25).3-136=-31`
`=>(-2x+25).3=-31+136`
`=>(-2x+25).3=105`
`=>-2x+25=105:3`
`=>-2x+25=35`
`=>-2x=35-25`
`=>-2x=10`
`=>x=10:(-2)`
`=>x=-5`
Vậy `x=-5`
Hãy giúp mọi người biết câu trả lời này thế nào?
Bảng tin
27663
357414
18782
Thấy em tích cực mà nhỉ sao mất mác vậy nhỉ..
7480
531
4495
em tích cực từ đầu t10 thôi anh
7480
531
4495
em off từ t8 đến t10 mà
27663
357414
18782
Hihi
7480
531
4495
bám em đi a
27663
357414
18782
Ok e cảm ơn em nha
27663
357414
18782
7387224