

Hãy luôn nhớ cảm ơn và vote 5*
nếu câu trả lời hữu ích nhé!
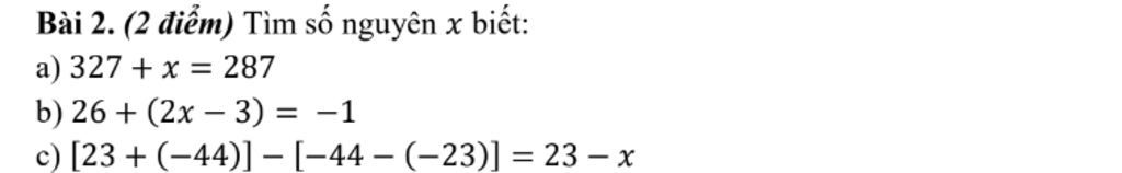
`a) 327 + x = 287`
`x = 287 - 327`
`x= -40`
`b) 26 + (2x - 3) = -1`
`=> 26 + 2x - 3 =-1`
`=> 2x = -1 + 3- 26`
`=> 2x = -24`
`=> x = -12`
`c) [23 + (-44)] - [-44 - (-23)] = 23 - x`
`<=> 23 - 44 + 44 - 23 = 23 - x`
`=> -x = 23 - 23 + 44 - 44 - 23`
`=> -x = -23`
`=> x = 23`
Hãy giúp mọi người biết câu trả lời này thế nào?
`a) 327+x=287`
`x= 287-327`
`x= 40`
`b) 26+(2x-3)=-1`
`26+2x-3=-1`
`26+2x=2`
`2x= 2-26`
`2x=-24`
`x=-12`
`c) [23+(-44)]-[-44-(-23]=23-x`
`23-44+44-23=23-x`
`(23-23)+(44-44)=23-x`
`23-x=0`
`x=23`
Hãy giúp mọi người biết câu trả lời này thế nào?
Bảng tin