

Hãy luôn nhớ cảm ơn và vote 5*
nếu câu trả lời hữu ích nhé!
`K`
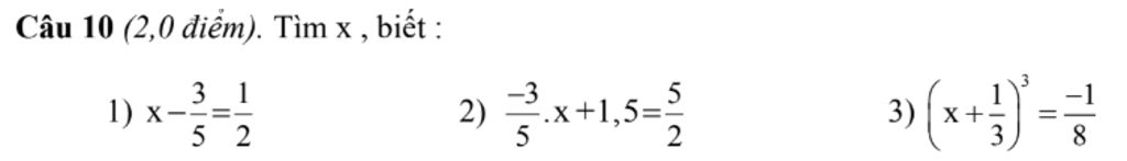
`1, x-3/5=1/2`
`x=1/2+3/5`
`x=11/10`
Vậy `x=11/10`
`2, -3/5 . x +1,5=5/2`
`-3/5 . x=5/2-1,5`
`-3/5 . x=1`
`x=1: (-3/5)`
`x=1 . (-5/3)`
`x=-5/3`
Vậy `x=-5/3`
`3, (x+1/3)^3 = -1/8`
`(x+1/3)^3=(-1/2)^3`
`x+1/3=-1/2`
`x=-1/2-1/3`
`x=-5/6`
Vậy `x=-5/6`
Hãy giúp mọi người biết câu trả lời này thế nào?
Bảng tin