Đăng nhập để hỏi chi tiết


Hãy luôn nhớ cảm ơn và vote 5*
nếu câu trả lời hữu ích nhé!
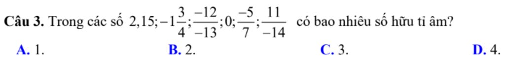
Ta có:
`-1 3/4 < 0`
`-5/7 < 0`
`11/-14 < 0`
`=>` Có `3` số hữu tỉ âm
`=> C`
Hãy giúp mọi người biết câu trả lời này thế nào?
Đáp án + Giải thích các bước giải :
Theo bài ra , ta có :
`-1 3/4 < 0 `
` -5/7 < 0 `
`11/(-14) < 0`
Nên : Ta có `3` số hữu tỉ âm
`=> C`
$#GoitoileLexus$
Hãy giúp mọi người biết câu trả lời này thế nào?
Bảng tin