

Hãy luôn nhớ cảm ơn và vote 5*
nếu câu trả lời hữu ích nhé!
Đáp án+Giải thích các bước giải:
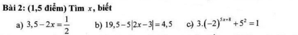
`a)`
`3,5-2x=1/2`
`=>2x=7/2-1/2`
`=>2x=6/2`
`=>2x=3`
`=>x=3:2`
`=>x=1,5`
Vậy `x=1,5`
`b)`
`19,5-5.|2x-3|=4,5`
`=>5.|2x-3|=19,5-4,5`
`=>5.|2x-3|=15`
`=>|2x-3|=15:5`
`=>|2x-3|=3`
`=>2x-3=3` hoặc `2x-3=-3`
`=>2x=6` hoặc `2x=0`
`=>x=3` hoặc `x=0`
Vậy `x\in{3;0}`
`c)`
`3.(-2)^{5x+8}+5^{2}=1`
`=>3.(-2)^{5x+8}=1-5^{2}`
`=>3.(-2)^{5x+8}=1-25`
`=>(-2)^{5x+8}=(-24):3`
`=>(-2)^{5x+8}=(-8)`
`=>(-2)^{5x+8}=(-2)^{3}`
`=>5x+8=3`
`=>5x=-5`
`=>x=-1`
Vậy `x=-1`
Hãy giúp mọi người biết câu trả lời này thế nào?
Đáp án`+`Giải thích các bước giải:
`a) 3,5-2x=1/2`
`2x=3,5-1/2`
`2x=3`
`x=3/2`
Vậy `x=3/2`
`b) 19,5 -5|2x-3|=4,5`
`5|2x-3|=19,5 -4,5`
`5|2x-3|=15`
`|2x-3|=3`
`2x-3=3` hoặc `2x-3=-3`
`2x=6` `2x=0`
`x=3` `x=0`
Vậy `x∈{3;0}`
`c) 3.(-2)^(5x+8)+5^2=1`
`3.(-2)^(5x+8) +25=1`
` 3.(-2)^(5x+8)=-24`
`(-2)^(5x+8)=-24:3`
`(-2)^(5x+8)=-8`
`(-2)^(5x+8)=(-2)^3`
`5x+8=3`
`5x=-5`
`x=-1`
Vậy `x=-1`
Hãy giúp mọi người biết câu trả lời này thế nào?
Bảng tin