

Hãy luôn nhớ cảm ơn và vote 5*
nếu câu trả lời hữu ích nhé!
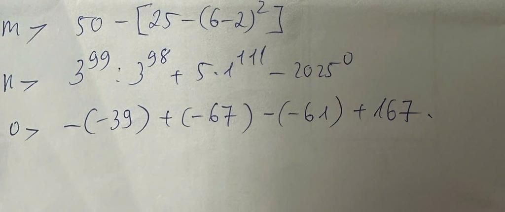
`m) 50 - [25 - (6 - 2)^2]`
`= 50 - [25 - 16]`
`= 50 - 9`
`= 41`
`n) 3^99 : 3^98 + 5 . 1^111 - 2025^0`
`= 3^1 + 5 . 1 - 1`
`= 3 + 5 - 1`
`= 7`
`o) -(-39) + (-67) - (-61) + 167`
`= 39 + 61 + (167 - 67)`
`= 100 + 100`
`= 200`
Hãy giúp mọi người biết câu trả lời này thế nào?
`m) 50 - [25 - (6 - 2)^2]`
`= 50 - (25 - 4^2)`
`= 50 - (25 - 16)`
`= 50 - 9`
`= 41`
`n) 3^99 : 3^98 + 5 xx 1^111 - 2025^0`
`= 3^1 + 5 xx 1 - 1`
`= 3 + 5 - 1`
`= 7``o) -(-39) + (-67) - (-61) + 167`
`= 39 + 61 + (167 - 67)`
`= 100 + 100`
`= 200`
Hãy giúp mọi người biết câu trả lời này thế nào?
Bảng tin
770
25
693
bạn ơi
770
25
693
$\text{Tuyển TV Đua top/ ngày 4-5 câu}$