Vui lòng chỉ chọn một câu hỏi
Hoidap247.com Nhanh chóng, chính xác
+
Danh mục mới
805
3788
454
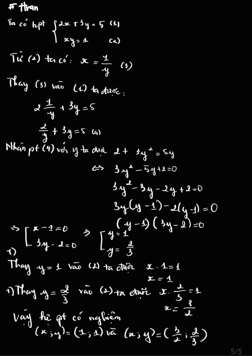
giải hpt 2x+3y=5 và xy=1
Hãy luôn nhớ cảm ơn và vote 5* nếu câu trả lời hữu ích nhé!
74
2198
28
Hãy giúp mọi người biết câu trả lời này thế nào?
Xem thêm:
Bảng tin
Gửi yêu cầu Hủy