Tham Gia Group Dành Cho Lớp 11 Chia Sẻ, Trao Đổi Tài Liệu Miễn Phí
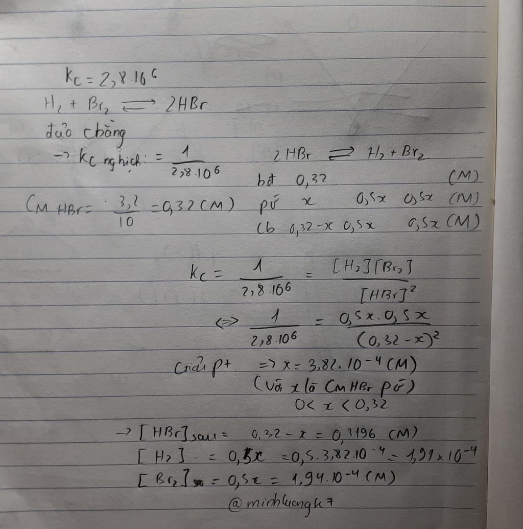
Câu 5: Hằng số cân bằng Kc của phản ứng Hz(g) + Brz(g) = 2HBr(g) ở '730°C là 2,18.106. Cho 3,2
mol HBr vào trong bình phản ứng dung tích 10 lít ở 730°C. Tính nồng độ các chất trong phản
ứng trên ở trạng thái cân bằng. c = 2% 100 verd
JHBrra)
11, ($) + Br(a)
D
1