Đăng nhập để hỏi chi tiết


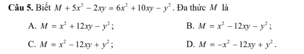
Câu 5. Biết `M + 5x^2 – 2xy = 6x^2 + 10xy – y^2` . Đa thức M là
A. M = x²+12xy - y²;
B. M = x²-12xy - y²;
C. M= x²-12xy + y²;
D. M = -x²-12xy + y².
Hãy luôn nhớ cảm ơn và vote 5*
nếu câu trả lời hữu ích nhé!
Đáp án:
Giải thích các bước giải:
TA có:
`M+5x^2-2xy=6x^2+10xy-y^2`
`=>M=6x^2+10xy-y^2-5x^2+2xy`
`=>M=x^2+12xy-y^2`
`=>` Chọn `A`
Hãy giúp mọi người biết câu trả lời này thế nào?
Bảng tin