Vui lòng chỉ chọn một câu hỏi
Hoidap247.com Nhanh chóng, chính xác
+
Danh mục mới
0
2460
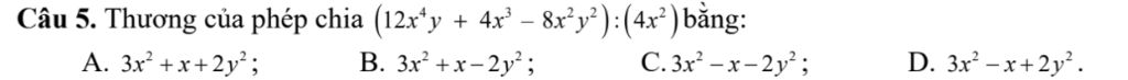
Câu 5. Thương của phép chia `(12x^4y + 4x³ – 8x²y²)`:` (4x²)` bằng:
A. 3x²+x+2y²;
B. 3x²+x-2y²;
C.3x²-x-2y²;
D. 3x²-x+2y².
Hãy luôn nhớ cảm ơn và vote 5* nếu câu trả lời hữu ích nhé!
5012
2181
1555
`(12x^4 y+4x^3 -8x^2 y^2):(4x^2)`
`=3x^2 y+x-2y`
`->` Không đáp án đúng
Hãy giúp mọi người biết câu trả lời này thế nào?
Đúng k ta 🤨
7475
438
4479
Câu `5:`
`(12x^4y + 4x^3 - 8x^2y^2) : (4x^2)`
`=12x^4y : 4x^2 + 4x^3 : 4x^2 - 8x^2y^2 : 4x^2`
`=3x^2y + x - 2y^2`
`=>` Chọn `bb B.`
Bảng tin
Gửi yêu cầu Hủy
5012
2181
1555
Đúng k ta 🤨