

Hãy luôn nhớ cảm ơn và vote 5*
nếu câu trả lời hữu ích nhé!
Đáp án+Giải thích các bước giải:
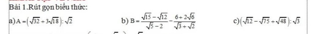
`a)`
`A=(\sqrt{32}+3\sqrt{18}):\sqrt{2}`
`=\sqrt{32}:\sqrt{2}+3\sqrt{18}:\sqrt{2}`
`=\sqrt{16}+3\sqrt{9}`
`=4+3.3`
`=4+9`
`=13`
Vậy `A=13`
`b)`
`B=\frac{\sqrt{15}-\sqrt{12}}{\sqrt{5}-2}-\frac{6+2\sqrt{6}}{\sqrt{3}+\sqrt{2}}`
`=\frac{\sqrt{3}.(\sqrt{5}-2)}{\sqrt{5}-2}-\frac{(6+2\sqrt{6}).(\sqrt{3}-\sqrt{2})}{(\sqrt{3})^{2}-2^{2}}`
`=\sqrt{3}-\frac{6\sqrt{3}-6\sqrt{2}+6\sqrt{2}-4\sqrt{3}}{3-2}`
`=\sqrt{3}-2\sqrt{3}`
`=-\sqrt{3}`
Vậy `B=-\sqrt{3}`
`c)`
`(\sqrt{12}-\sqrt{75}+\sqrt{48}):\sqrt{3}`
`=\sqrt{12}:\sqrt{3}-\sqrt{75}:\sqrt{3}+\sqrt{48}:\sqrt{3}`
`=\sqrt{4}-\sqrt{25}+\sqrt{16}`
`=2-5+4`
`=-3+4`
`=1`
Hãy giúp mọi người biết câu trả lời này thế nào?

`a)`
`A=(\sqrt{32}+3\sqrt{18})÷\sqrt{2}`
`A=\sqrt{32}÷\sqrt{2}+3\sqrt{18}÷\sqrt{2}`
`A=4+9`
`A=13`
`b)`
`B=(\sqrt{15}-\sqrt{12})/(\sqrt{5}-2)-(6+2\sqrt{6})/(\sqrt{3}+\sqrt{2})`
`B=(\sqrt{3}(\sqrt{5}-2))/(\sqrt{5}-2)-((6+2\sqrt{6})(\sqrt{3}-\sqrt{2}))/((\sqrt{3}+\sqrt{2})(\sqrt{3}-\sqrt{2}))`
`B=\sqrt{3}-(2\sqrt{3})/(3-2)`
`B=\sqrt{3}-2\sqrt{3}`
`B=-\sqrt{3}`
`c)`
`(\sqrt{12}-\sqrt{75}+\sqrt{48})÷\sqrt{3}`
`=\sqrt{12}÷\sqrt{3}-\sqrt{75}÷\sqrt{3}+\sqrt{48}÷\sqrt{3}`
`=2-5+4`
`=-3+4`
`=1`
Hãy giúp mọi người biết câu trả lời này thế nào?

Bảng tin