

Hãy luôn nhớ cảm ơn và vote 5*
nếu câu trả lời hữu ích nhé!
Đáp án:
Bạn tham khảo ạ
Giải thích các bước giải:
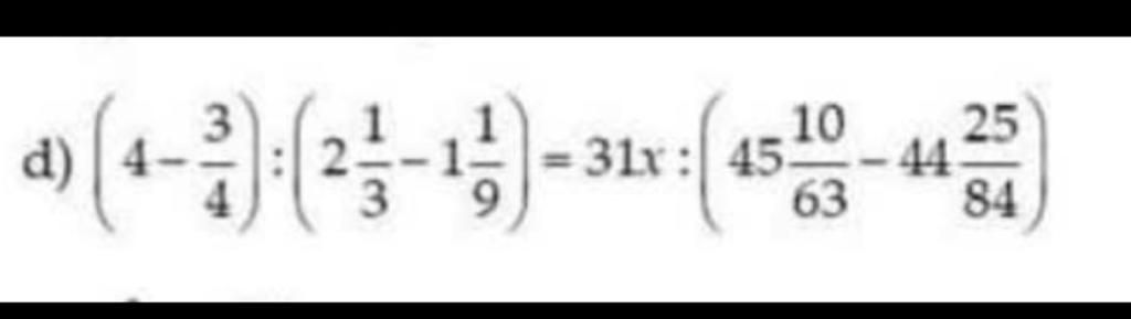
`(4-3/4):(2 1/3 -1 1/9)=31x:(45 10/63 - 44 25/84)`
`=>13/4 : 11/9 =31x: 31/36`
`=>117/44 =31x:31/36`
`=>31x=403/176`
`=>x=13/176`
Vậy `x=13/176`
Hãy giúp mọi người biết câu trả lời này thế nào?

`@` Thanh Hoai.
linh nhi.
d)
`(4 - 3/4) : (2 1/3 -1 1/9) = 31x : (45 10/63 - 44 25/84)`
`117/44 = 31x : 31/36`
`31x = 403/176`
`x = 13/176`
Hãy giúp mọi người biết câu trả lời này thế nào?

Bảng tin
1228
18550
551
chia 31 mà.
1400
1260
431
vâng mình cảm ơn ạ