

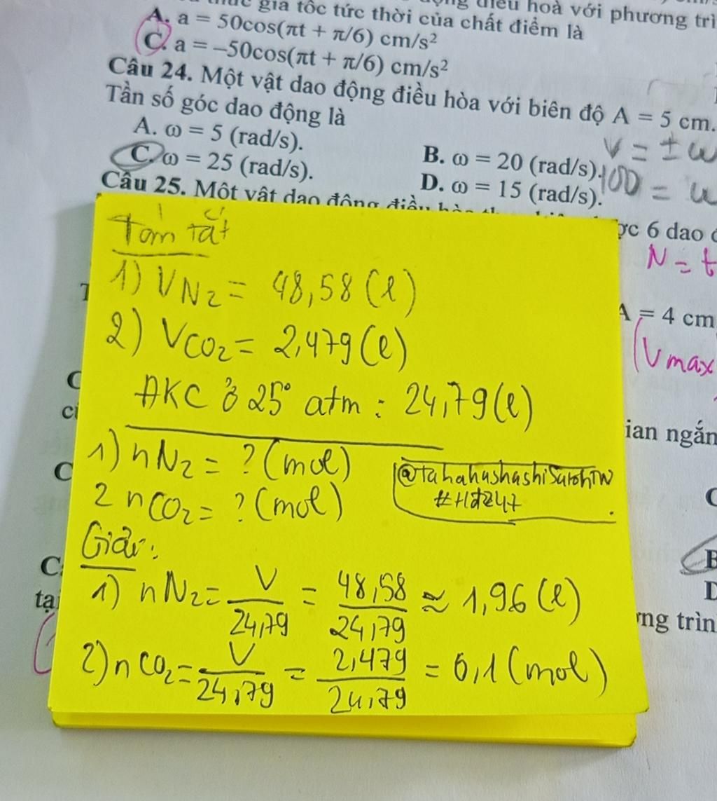
Tính số mol của các khí ở điều kiện chuẩn :
1) 48,58 lít khí N2
2) 2,479 lít khí Co2
Tóm tắt và làm giúp mình với , mình vote cho 5* và ctlhn
Hãy luôn nhớ cảm ơn và vote 5*
nếu câu trả lời hữu ích nhé!
Đáp án:
- Điều kiện chuẩn là điều kiện ứng với 1 bar (đối với chất khí); nồng độ 1 mol/l (đối với chất tan trong dung dịch) và nhiệt độ thường được chọn là 25 độ C (289 độ K)
- Thể tích của 1 mol khí ở điều kiện chuẩn là 24,79 lít
Ta có công thức tính số mol của chất khí: n=V:24,79
a. Áp dụng công thức ta có: nN2=48,58/24,79=1,9596 mol (làm tròn là 2 mol)
b. Áp dụng công thức ta có: nCO2=2,479/24,79=0,1 mol
Hãy giúp mọi người biết câu trả lời này thế nào?
![]()
Bảng tin