Vui lòng chỉ chọn một câu hỏi
Hoidap247.com Nhanh chóng, chính xác
+
Danh mục mới
0
2680
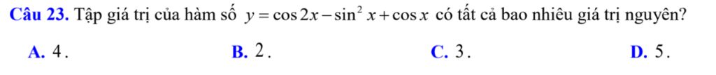
Câu 23. Tập giá trị của hàm số `y=cos2x−sin²x+cosx `có tất cả bao nhiêu giá trị nguyên?
A. 4.
B. 2.
C. 3.
D. 5.
Bảng tin
Gửi yêu cầu Hủy