Vui lòng chỉ chọn một câu hỏi
Hoidap247.com Nhanh chóng, chính xác
+
Danh mục mới
0
2280
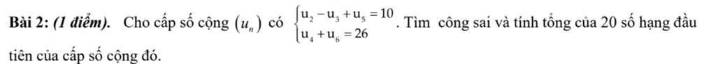
Bài 2: (1 điểm). Cho cấp số cộng (`u_n`) có `u_2-u_3+u_5=10`
` u_4+u_6=26` Tìm công sai và tính tổng của 20 số hạng đầu tiên của cấp số cộng đó
Hãy luôn nhớ cảm ơn và vote 5* nếu câu trả lời hữu ích nhé!
3360
111
823
`{(u_2-u_3+u_5=10),(u_4+u_6=26):}`
`-> {(u_1+d-u_1-2d+u_1+4d=10),(u_1+3d+u_1+5d=26):}`
`-> {(u_1+3d=10),(2u_1+8d=26):}`
`-> {(2u_1+6d=20),(2u_1+8d=26):}`
`-> {(d=3),(u_1=1):}`
`-> S_20=20*1+[20(20-1)]/2*3=590`
Hãy giúp mọi người biết câu trả lời này thế nào?
Bảng tin
Gửi yêu cầu Hủy