Vui lòng chỉ chọn một câu hỏi
Hoidap247.com Nhanh chóng, chính xác
+
Danh mục mới
0
2640
Hãy luôn nhớ cảm ơn và vote 5* nếu câu trả lời hữu ích nhé!
3360
111
820
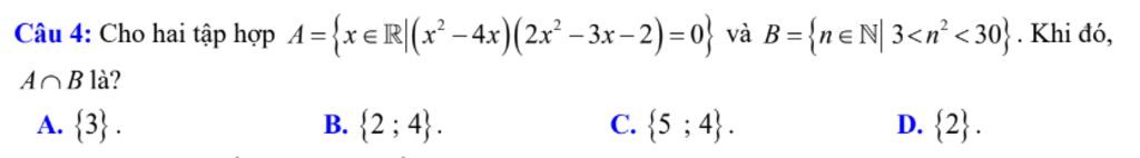
4B
`A={0;4;2;-1/2}`
`B=(-sqrt30; -sqrt3) uu (sqrt3; sqrt30)`
`=> AnnB={4;2}`
Hãy giúp mọi người biết câu trả lời này thế nào?
Bảng tin
Gửi yêu cầu Hủy