

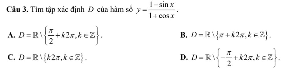
Câu 3. Tìm tập xác định D của hàm số y= `(1-sinx)/(1+cosx)`
A. D= `R\{ π/2 +k2π, kЄZ}`
B. D= `R\{ π +k2π, kЄZ}`
C. D= `R\{ k2π, kЄZ}.`
D. D= `R\{ -π/2 +k2π, kЄZ}`
Hãy luôn nhớ cảm ơn và vote 5*
nếu câu trả lời hữu ích nhé!
Đáp án:
`↓`
Giải thích các bước giải:
`y = (1-sin x)/(1+cos x)`
ĐKXĐ : `1+cos x ne 0`
`⇔cos x ne -1`
`⇔cos x ne cos \pi`
`⇔x ne \pi + k2\pi (k∈Z)`
`=>D=R` \ `{\pi + k2\pi, k∈Z}`
`->` Chọn B
Hãy giúp mọi người biết câu trả lời này thế nào?
Đáp án:
`bbB`
Giải thích các bước giải:
Ta cho hàm số: `y=\frac{1-sinx}{1+cosx}`
ĐKXĐ: `1+cosx\ne0`
`<=>cosx\ne -1`
`<=>x\ne \pi+k2\pi` `(k\inZZ)`
`->TXĐ: D=RR\\{\pi+k2\pi;k\inZZ}`
`->` Ta chọn đáp án: `bbB`
Hãy giúp mọi người biết câu trả lời này thế nào?
Bảng tin