

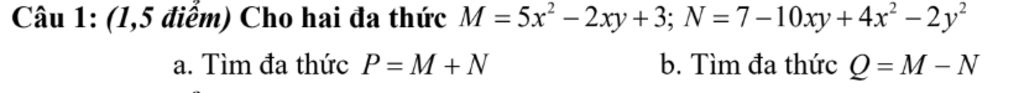
Câu 1: (1,5 điểm) Cho hai đa thức M = `5x^2 – 2xy + 3`; N =`7–10xy+C4x^2 – 2y^2`
a. Tìm đa thức P=M+N
b. Tìm đa thức Q =M-N
Hãy luôn nhớ cảm ơn và vote 5*
nếu câu trả lời hữu ích nhé!
Đáp án:
Câu `1:`
`a.`Thay `M;N` vào `P` ta được:`
`P = 5x^2 - 2xy + 3 + 7 - 10xy + 4x^2 - 2y^2`
`P = (5x^2 + 4x^2) + (-2xy - 10xy) + (3 + 7) - 2y^2`
`P = 9x^2 - 12xy + 10 - 2y^2`
Vậy `P = 9x^2 - 12xy + 10 - 2y^2`
`b.`Thay `N;N` vào `Q` ta được:
`Q = 5x^2 - 2xy + 3 - (7 - 10xy + 4x^2 - 2y^2)`
`Q = 5x^2 - 2xy + 3 - 7 + 10xy - 4x^2 + 2y^2`
`Q = (5x^2 - 4x^2) + (-2xy + 10xy) + (3 - 7) + 2y^2`
`Q = x^2 + 8xy - 4 + 2y^2`
Vậy `Q = x^2 + 8xy - 4 + 2y^2`
Hãy giúp mọi người biết câu trả lời này thế nào?
Câu `1:`
`a) P=5x^2 - 2xy + 3 + 7 -10xy + 4x^2 - 2y^2`
`P=9x^2 - 12xh - 2y^2 + 10`
`b) Q=5x^2 - 2xy + 3 - 7 + 10xy - 4x^2 + 2y^2`
`Q=x^2 + 2y^2 + 8xy - 4`
Hãy giúp mọi người biết câu trả lời này thế nào?
Bảng tin