Rút gọn biểu thức:
B=(2x+1)⋅4x^2-2x+1-8(x+ 1/2 )(x^2+ 1/2x+ 1/4 )
Hãy luôn nhớ cảm ơn và vote 5*
nếu câu trả lời hữu ích nhé!
Đáp án + Giải thích các bước giải:
Sửa theo HCT :
Đề mới:`(2x+1)(4x^2-2x+1)-8(x+1/2)(x^2-1/2x+1/4)`
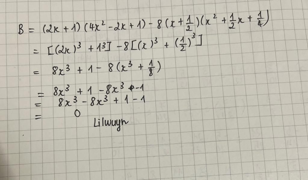
`(2x+1)(4x^2-2x+1)-8(x+1/2)(x^2-1/2x+1/4)`
`= (2x)^3 + 1^3 - 8[x^3+(1/2)^3]`
`= 8x^3 + 1 - 8(x^3 + 1/8)`
`= 8x^3 + 1 - 8x^3 - 1`
`= 0`
`\ttcolor{green}{@}\ttcolor{skyblue}{8}\ttcolor{turquoise}{9}\ttcolor{skyblue}{4}\ttcolor{turquoise}{3}\ttcolor{skyblue}{1}\ttcolor{turquoise}{9}`
Hãy giúp mọi người biết câu trả lời này thế nào?
Bảng tin
3
541
17
chéo tim + sao ko ạ
3736
131
3172
K ạ