

Hãy luôn nhớ cảm ơn và vote 5*
nếu câu trả lời hữu ích nhé!
Đáp án + Giải thích các bước giải:
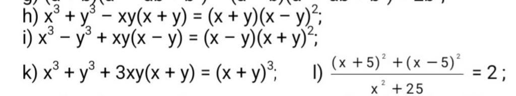
h, $x^{3}$ + $y^{3}$ -xy(x+y) = $x^{3}$ + $y^{3}$ - $x^{2}$y - x$y^{2}$ = $x^{2}$(x-y) - $y^{2}$(x-y)=($x^{2}$ - $y^{2}$)(x-y)=(x+y)$(x-y)^{2}$
i, $x^{3}$ - $y^{3}$ -xy(x+y) = $x^{3}$ + $y^{3}$ + $x^{2}$y - x$y^{2}$ = $x^{2}$(x+y) - $y^{2}$(x+y)=($x^{2}$ - $y^{2}$)(x+y)=(x-y)$(x+y)^{2}$
k, $x^{3}$ + $y^{3}$ + 3xy(x+y) = $x^{3}$ + $y^{3}$ +3$x^{2}$y +3x$y^{2}$ = $(x+y)^{3}$
l, $\frac{(x+5)^2+(x-5)^2}{x^2+25}$ = $\frac{x^2+10x+25+x^2-10x+25}{x^2+25}$ = $\frac{2x^2+50}{x^2+25}$ = 2
Hãy giúp mọi người biết câu trả lời này thế nào?

Đáp án:
`x^3+y^3-xy(x+y)`
`=(x+y)(x^2-xy+y^2)-xy(x+y)`
`=(x+y)(x^2-xy+y^2-xy)`
`=(x+y)(x^2-2xy+y^2)`
`=(x+y)(x-y)^2`
`->đpcm`
`x^3-y^3+xy(x-y)`
`=(x-y)(x^2+xy+y^2)+xy(x-y)`
`=(x-y)(x^2+xy+y^2+xy)`
`=(x-y)(x^2+2xy+y^2)`
`=(x-y)(x+y)^2`
`->đpcm`
`x^3+y^3+3xy(x+y)`
`=(x+y)(x^2-xy+y^2)+3xy(x+y)`
`=(x+y)(x^2-xy+y^2+3xy)`
`=(x+y)(x^2+2xy+y^2)`
`=(x+y)(x+y)^2`
`=(x+y)^3`
`->đpcm`
`((x+5)^2+(x-5)^2)/(x^2+25)`
`=(x^2+10x+25+x^2-10x+25)/(x^2+25)`
`=(2x^2+50)/(x^2+25)`
`=(2(x^2+25))/(x^2+25)`
`=2`
`->đpcm`
Hãy giúp mọi người biết câu trả lời này thế nào?
Bảng tin