

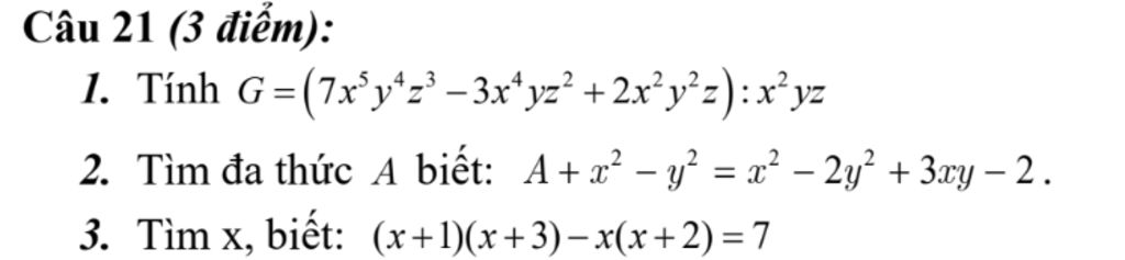
Câu 21 (3 điểm):
1. Tính G = `(7x^5y^4z^3-3x^4yz^2 + 2x^2y^2z): x^2yz`
2.Tìm đa thức A biết: A+`x^2 − y^2 = x^3 – 2y^2 + 3xy− 2`
3. Tìm x, biết: `(x+1)(x+3)−x(x+2)=7`
Hãy luôn nhớ cảm ơn và vote 5*
nếu câu trả lời hữu ích nhé!
`K`
Câu `21:`
`1, G=(7x^5y^4z^3-3x^4yz^2 +2x^2y^2z) : x^2yz`
`=7x^3y^3z^2 - 3x^2z + 2y`
`2, A+ x^2-y^2 = x^2 -2y^2 +3xy -2`
`A=x^2-2y^2+3xy -2 -x^2+y^2`
`A=-y^2 +3xy -2`
`3, (x+1)(x+3)-x(x+2)=7`
`x^2+3x+x+3 -x^2 -2x=7`
`2x+3=7`
`2x=4`
`x=4:2`
`x=2`
Vậy `x=2`
Hãy giúp mọi người biết câu trả lời này thế nào?
Câu `21:`
`1,`
`G = ( 7x^5y^4z^3 - 3x^4yz^2 + 2x^2y^2z ) : x^2yz`
`G = ( 7x^5y^4z^3 : x^2yz ) - ( 3x^4yz^2 : x^2yz ) + ( 2x^2y^2z : x^2yz )`
`G = 7x^3y^3z^2 - 3x^2z + 2y`
Vậy `G = 7x^3y^3z^2 - 3x^2z + 2y`
`2,`
`A + x^2 - y^2 = x^2 - 2y^2 + 3xy - 2`
`A = x^2 - 2y^2 + 3xy - 2 - x^2 + y^2`
`A = 3xy - y^2 - 2`
Vậy `A = 3xy - y^2 - 2`
`3,`
`( x + 1 )( x + 3 ) - x(x + 2 ) = 7`
`<=> x^2 + 4x + 3 - x^2 - 2x = 7`
`<=> 2x + 3 = 7`
`<=> 2x = 4`
`<=> x = 2`
Vậy `x = 2`
`#`Nguyencanhthinh`#`
`*** Hoidap247`
Hãy giúp mọi người biết câu trả lời này thế nào?
Bảng tin