Đăng nhập để hỏi chi tiết


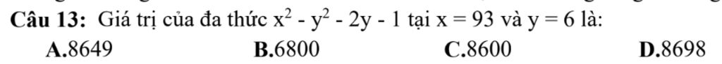
Câu 13: Giá trị của đa thức x² - y² - 2y - 1 tại x = 93 và y = 6 là:
A.8649
B.6800
C.8600
D.8698
Hãy luôn nhớ cảm ơn và vote 5*
nếu câu trả lời hữu ích nhé!
Thay `x=93` và `y=6` vào biểu thức `,` ta được
`x^2-y^2-2y-1`
`=93^2-6^2-2.6-1`
`=8649-36-12-1`
`=8600`
`->bbC`
Hãy giúp mọi người biết câu trả lời này thế nào?
Bảng tin