Đăng nhập để hỏi chi tiết


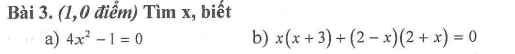
Bài 3. (1,0 điểm) Tìm x, biết
a) 4x²-1=0
b) x(x+3)+ (2 - x)(2 + x) = 0
Hãy luôn nhớ cảm ơn và vote 5*
nếu câu trả lời hữu ích nhé!
`K`
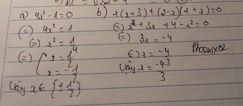
`a, 4x^2-1=0`
`(2x)^2-1^2=0`
`(2x-1)(2x+1)=0`
`2x-1=0` hoặc `2x+1=0`
`2x=1` hoặc `2x=-1`
`x=1/2` hoặc `x=-1/2`
`b, x(x+3)+(2-x)(2+x)=0`
`x^2+3x+2^2-x^2=0`
`x^2+3x+4-x^2=0`
`3x+4=0`
`3x=-4`
`x=-4/3`
Vậy `x=-4/3`
Hãy giúp mọi người biết câu trả lời này thế nào?
Bảng tin