

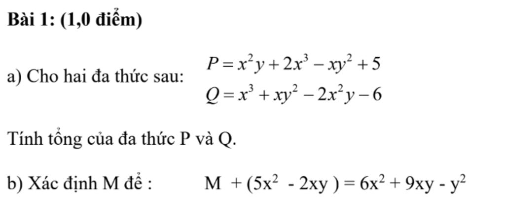
Bài 1: (1,0 điểm)
a) Cho hai đa thức sau: P = `x²y+2x³-xy²+5`
Q=`x³ + xy² -2x²y-6`
Tính tổng của đa thức P và Q.
b) Xác định M để : M+ `(5x^2-2xy)=6x² + 9xy - y²`
Hãy luôn nhớ cảm ơn và vote 5*
nếu câu trả lời hữu ích nhé!
Đáp án:
Bài `1:`
`a)P + Q = x^2y + 2x^3 - xy^2 + 5 + x^3 + xy^2 - 2x^2y - 6`
`P + Q = (x^2y - 2x^2y) + (2x^3 + x^3) + (-xy^2 + xy^2) + (5 - 6)`
`P + Q = -x^2y + 3x^3 - 1`
Vậy `P + Q = -x^2y + 3x^3 - 1`
`b)M + (5x^2 - 2xy) = 6x^2 + 9xy - y^2`
`M = 6x^2 + 9xy - y^2 - (5x^2 - 2xy)`
`M = 6x^2 + 9xy - y^2 - 5x^2 + 2xy`
`M = x^2 + 11xy - y^2`
Vậy `M = x^2 + 11xy - y^2`
Hãy giúp mọi người biết câu trả lời này thế nào?
`a)P+Q=x^2y+2x^3-xy^2+5+x^3+xy^2-2x^2y-6`
`=(x^2y-2x^2y)+(2x^3+x^3)+(xy^2-xy^2)+(5+6)`
`=-x^2y+3x^3+11`
`b)M+(5x^2-2xy)=6x^2+9xy-y^2`
`<=>M=6x^2+9xy-y^2-5x^2+2xy`
`<=>M=(6x^2-5x^2)+(9xy+2xy)-y^2`
`<=>M=x^2+11xy-y^2`
Hãy giúp mọi người biết câu trả lời này thế nào?
Bảng tin