Vui lòng chỉ chọn một câu hỏi
Hoidap247.com Nhanh chóng, chính xác
+
Danh mục mới
0
2460
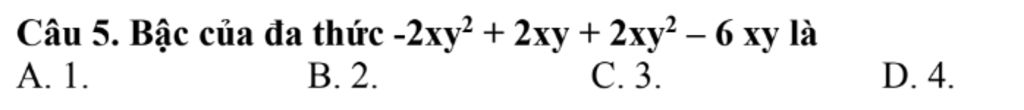
Câu 5. Bậc của đa thức `-2xy^2 + 2xy + 2xy^2 — 6xy` là
A. 1.
B. 2.
C. 3.
D. 4.
Hãy luôn nhớ cảm ơn và vote 5* nếu câu trả lời hữu ích nhé!
5801
1003
5124
Đáp án:
Ta có:
`-2xy^2 +2xy+2xy^2-6xy`
`=(-2xy^2+2xy^2)+(2xy-6xy)`
`=-4xy`
Bậc của đa thức đó là `1+1=2`
`=>` Chọn `B.2`
Hãy giúp mọi người biết câu trả lời này thế nào?
2730
34096
2093
đi học vui ko vỹ :D
Không :)
._.
6585
1989
4844
`-2xy^2 + 2xy + 2xy^2 -6xy`
`= (-2xy^2 + 2xy^2 ) + ( 2xy-6xy)`
`= -4xy`
`->` Bậc `1+1=2`
`-> bbB`
Bảng tin
Gửi yêu cầu Hủy
2730
34096
2093
đi học vui ko vỹ :D
5801
1003
5124
Không :)
2730
34096
2093
._.