

Hãy luôn nhớ cảm ơn và vote 5*
nếu câu trả lời hữu ích nhé!
Đáp án:
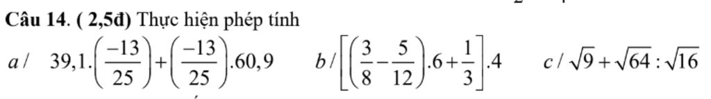
Câu `14:`
`a)39,1 * ((-13)/25) + ((-13)/25) * 60,9`
`=(-13)/25 * (39,1 + 60,9)`
`=(-13)/25 * 100`
`=52`
`b)[(3/8 - 5/12) * 6 + 1/3] * 4`
`=[(-1)/24 * 6 + 1/3] * 4`
`=[(-1)/4 + 1/3] * 4`
`=1/12 * 4`
`=4/12`
`=1/3`
`c)sqrt(9) + sqrt(64) : sqrt(16)`
`=sqrt(3^2) + sqrt(8^2) : sqrt(4^2)`
`=3 + 8 : 4`
`=3 + 2`
`=5`
Hãy giúp mọi người biết câu trả lời này thế nào?
Câu `14:`
`a) 39,1 . (-13/25) + (-13/25) . 60,9`
`=(-13/25) . (39,1 + 60,9)`
`=(-13/25) . 100`
`=-52`
`b) [(3/8 - 5/12) . 6 +1/3] . 4`
`=(-1/24 . 6 + 1/3) . 4`
`=(-1/4 + 1/3) . 4`
`=1/12 . 4`
`=1/3`
`c)sqrt(9) + sqrt(64) : sqrt(16)`
`=3+8 : 4`
`=3+2`
`=5`
Hãy giúp mọi người biết câu trả lời này thế nào?
Bảng tin