

Hãy luôn nhớ cảm ơn và vote 5*
nếu câu trả lời hữu ích nhé!
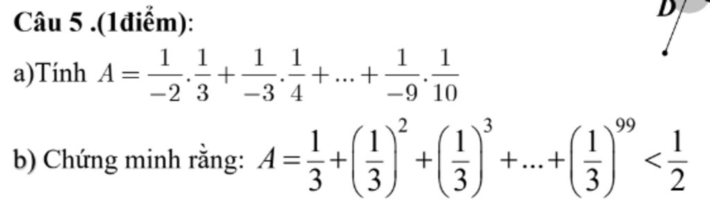
a)
`A = 1/(-2) . 1/3 + 1/(-3) . 1/4 + ... + 1/(-9) . 1/10`
`= - (1/(2.3) + 1/(3.4) + ... + 1/(9.10))`
`= - (1/2 - 1/3 + 1/3 - 1/4 + ... + 1/9 - 1/10)`
`= - (1/2 - 1/10)`
`= - 4/10`
`= -2/5`
b)
`A = 1/3 + (1/3)^2 + (1/3)^3 + ... + (1/3)^99`
`=> 3A = 1 + 1/3 + (1/3)^2 + ... + (1/3)^98 `
`=> 3A - A = [1 + 1/3 + (1/3)^2 + ... + (1/3)^98] - [1/3 + (1/3)^2 + (1/3)^3 + ... + (1/3)^99]`
`=> 2A = 1 - (1/3)^99`
`=> A = (1 - (1/3)^99)/2 < 1/2` (đpcm)
Hãy giúp mọi người biết câu trả lời này thế nào?
Đáp án:
Giải thích các bước giải:
TA có:
`a)A=1/-2 . 1/3+1/-3. 1/4+.....+1/-9 . 1/10`
`=>A=-(1/2.3+1/3.4+.....+1/9.10)`
`=>A=-(1/2-1/3+1/3-1/4+.....+1/9-1/10)`
`=>A=-(1/2-1/10)`
`=>A=-2/5`
Vậy `A=-2/5`
`----`
`b)A=1/3+(1/3)^2+(1/3)^3+....+(1/3)^99`
`=>A=1/3+1/3^2+1/3^3+....+1/3^99`
`=>3A=1+1/3+1/3^2+....+1/3^98`
`=>3A-A=1-1/3^99`
`=>2A=1-1/3^99`
`=>A=1/2-1/(2.3^99)<1/2(đpcm)`
Hãy giúp mọi người biết câu trả lời này thế nào?
Bảng tin