Đăng nhập để hỏi chi tiết


Hãy luôn nhớ cảm ơn và vote 5*
nếu câu trả lời hữu ích nhé!
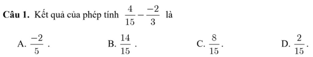
`4/15-{-2}/3`
`=4/15-{10}/15`
`={4-(-10)}/15`
`=14/15`
`->` Chọn `B.``14/15`
Hãy giúp mọi người biết câu trả lời này thế nào?
Đáp án+Giải thích các bước giải:
`4/15-(-2/3)`
`=4/15+2/3`
`=4/15+10/15`
`=14/15`
`->B`
Hãy giúp mọi người biết câu trả lời này thế nào?
Bảng tin
372
12
870
điểm đẹp