

Hãy luôn nhớ cảm ơn và vote 5*
nếu câu trả lời hữu ích nhé!
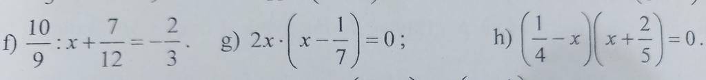
`10/9 : x + 7/12 = 2/3`
`<=> 10/9 : x = 1/12`
`=> x = 40/3`
_________________
`2x(x-1/7) = 0`
`<=> 2x = 0 => x = 0` hoặc `x - 1/7 = 0 => x = 1/7`
vậy `x = 0` hoặc `x = 1/7`
____________________________
`(1/4 - x)(x + 2/5) = 0`
`<=> 1/4 - x = 0 => x = 1/4` hoặc `x + 2/5 = 0 => x = -2/5`
vậy `x = 1/4` hoặc `x = -2/5`
`@Dark`
Hãy giúp mọi người biết câu trả lời này thế nào?
![]()
Đáp án + Giải thích các bước giải:
`f)` `10/9 :x+7/12=-2/3`
`=>10/9 :x=-2/3-7/12`
`=>10/9 :x=-5/4`
`=>x=10/9 : (-5/4)`
`=>x=-8/9`
Vậy `x=-8/9`
`g)` `2x .(x-1/7)=0`
`=>2x=0` hoặc `x-1/7=0`
`=>x=0` hoặc `x=1/7`
Vậy `x\in{0;1/7}`
`h)` `(1/4 -x)(x+2/5)=0`
`=>1/4-x=0` hoặc `x+2/5=0`
`=>x=1/4` hoặc `x=-2/5`
Vậy `x\in{1/4; -2/5}`
Hãy giúp mọi người biết câu trả lời này thế nào?
![]()
Bảng tin