

Hãy luôn nhớ cảm ơn và vote 5*
nếu câu trả lời hữu ích nhé!
Đáp án:
Giải thích các bước giải:
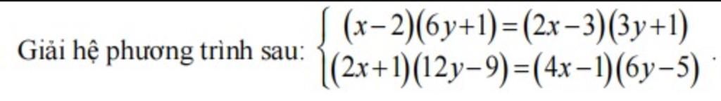
`{((x-2)(6y +1) = (2x -3)(3y +1)),((2x +1)(12y - 9) = (4x -1)(6y -5)):}`
`<=>{(6xy + x - 12y - 2= 6xy + 2x - 9y - 3 ),(24xy - 18x + 12y - 9 = 24xy - 20x - 6y + 5 ):}`
`<=>{(6xy - 6xy + x - 2x - 12y + 9y = -3 + 2),(24xy - 24xy -18x + 20x + 12y + 6y = 5 + 9):}`
`<=>{(-x - 3y =-1),(2x + 18y = 14):}`
`<=>{(x + 3y = 1),(x + 9y = 7):}`
`<=>{(-6y =-6),(x + 3y =1):}`
`<=>{(y =1),(x + 3 = 1):}`
`<=>{( y=1),(x = -2):}`
Vậy `(x;y) =(-2;1)`
`~nhungan~`
Hãy giúp mọi người biết câu trả lời này thế nào?

giải phương trình `1`
`(x-2)(6y + 1) = (2x - 3)(3y + 1)`
`<=> 6xy + x - 12y - 2 = 6xy + 2x - 9y - 3`
`<=> 6xy - 6xy + x - 2x - 12y + 9y = -3 + 2`
`<=> -x - 3y = -1 (1)`
giải phương trình `2`
`(2x + 1)(12y - 9) = (4x - 1)(6y - 5)`
`<=> 24xy - 18x + 12y - 9 = 24xy - 20x - 6y + 5`
`<=> 24xy - 24xy - 18x + 20x + 12y + 6y = 5 + 9`
`<=> 2x + 18y = 14`
`<=> x + 9y = 7 (2)`
từ `(1),(2)`
`=> {( -x - 3y = -1 ),( x + 9y = 7 ):}`
`<=> {( 6y = 6 ),( x + 9y = 7 ):}`
`<=> {( y = 1 ),( x = -2 ):}`
vậy `{x;y} = {-2;1}`
`@Dark`
Hãy giúp mọi người biết câu trả lời này thế nào?
Bảng tin