

Hãy luôn nhớ cảm ơn và vote 5*
nếu câu trả lời hữu ích nhé!
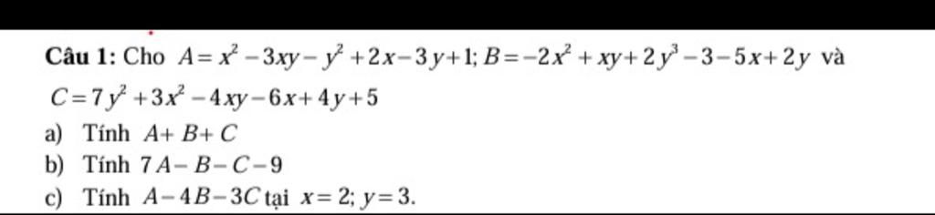
`a) A + B + C = (x^2 - 3xy - y^2 + 2x - 3y + 1) + (-2x^2 + xy + 2y^3 - 3 - 5x + 2y) + (7y^2 + 3x^2 - 4xy - 6x + 4y + 5)`
`= x^2 - 3xy - y^2 + 2x - 3y + 1 - 2x^2 + xy + 2y^3 - 3 - 5x + 2y + 7y^2 + 3x^2 - 4xy - 6x + 4y + 5`
`= 2x^2 - 6xy + 6y^2 - 9x + 3y + 3 + 2y^3`
`b) 7A - B - C - 9 = 7.(x^2 - 3xy - y^2 + 2x - 3y + 1) - (-2x^2 + xy + 2y^3 - 3 - 5x + 2y) - (7y^2 + 3x^2 - 4xy - 6x + 4y + 5) - 9`
`= 7x^2 - 21xy - 7y^2 + 14x - 21y + 7 + 2x^2 - xy - 2y^3 + 3 + 5x - 2y - 7y^2 - 3x^2 + 4xy + 6x - 4y - 5 - 9`
`= 6x^2 - 18xy - 14y^2 + 25x - 27y - 4 - 2y^3`
`c) A - 4B - 3C = (x^2 - 3xy - y^2 + 2x - 3y + 1) - 4.(-2x^2 + xy + 2y^3 - 3 - 5x + 2y) - 3.(7y^2 + 3x^2 - 4xy - 6x + 4y + 5)`
`= x^2 - 3xy - y^2 + 2x - 3y + 1 + 8x^2 - 4xy - 8y^3 + 12 + 20x - 8y - 21y^2 - 9x^2 + 12xy + 18x - 12y - 15`
`= 5xy - 22y^2 + 40x - 23y - 2 - 8y^3`
Thay `x = 2; y = 3` vào `A - 4B - 3C` ta được:
`5.2.3 - 22 . 3^2 + 40.2 - 23.3 - 2 - 8 . 3^3`
`= 30 - 198 + 80 - 69 - 2 - 216`
`= (-168) + 11 - 218`
`= (-157) - 218`
`= -375`
Vậy tại `x = 2; y = 3` biểu thức có giá trị là `-375`
Hãy giúp mọi người biết câu trả lời này thế nào?
Bảng tin