

Hãy luôn nhớ cảm ơn và vote 5*
nếu câu trả lời hữu ích nhé!
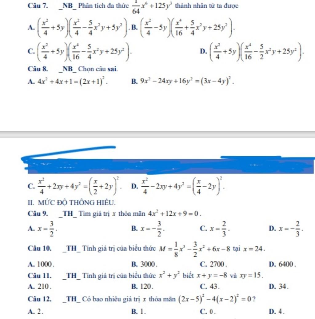
`7,`
`(1)/(64) x^6+125y^3`
`=((x^2)/(4))^3+(5y)^3`
`=((x^2)/4+5y)((x^4)/(16)-(5x^2)/4 y+25y^2)`
`->` Đáp án:`C`
`8D.(x^2)/4-2xy+4y^2`
`=(x/2)^2-2.(x)/(2).2y+(2y)^2`
`=(x/2-2y)^2`
`->` Đáp án:`D`
`9,4x^2+12x+9=0`
`=> (2x)^2+2.2x.3+3^2=0`
`=> (2x+3)^2=0`
`=>2x+3=0`
`=> x=-3/2`
`->` Đáp án: `B`
`10, 1/8 x^3-3/2 x^2 +6x-8`
`=(x/2)^3-3.(x^2)/(4).2+3.(x)/(2).2^2-2^3`
`=(x/2-2)^3`
Thay `x=24` và được `(24/2 -2)^3=1000`
`->` Đáp án: `A`
`11, x^2+y^2`
`=(x+y)^2-2xy`
`=(-8)^2-2.15`
`=64-30=34`
`->` Đáp án: `D`
`12, (2x-5)^2-4(x-2)^2=0`
`=> (2x-5)^2-(2x-4)^2=0`
`=> (2x-5-2x+4)(2x-5+2x-4)=0`
`=> (-1)(4x-9)=0`
`=> 4x-9=0`
`=> x=9/4`
`->` Đáp án:`B`
Hãy giúp mọi người biết câu trả lời này thế nào?
`7)1/64x^6+125y^3`
`=(x^2/4)^3+(5y)^3`
`=(x^2/4+5y)(x^4/16-5/4x^2y+25y^2)`
`->C`
`8)x^2/4-2xy+4y^2`
`=(x/2)^2-2.(x/2).2y+(2y)^2`
`=(x/2-2y)^2`
`->D`
`9)4x^2+12x+9=0`
`->(2x+3)^2=0`
`->2x+3=0`
`->x=-3/2`
`->B`
`10)M=1/8x^3-3/2x^2+6x-8`
`=(x/2)^3-3.(x^2/4).2+3.(x/2).2^2-2^3`
`=(x/2-2)^3`
`@x=24->M=(24/2-2)^3=1000`
`->A`
`11)x^2+y^2`
`=(x^2+2xy+y^2)-2xy`
`=(x+y)^2-2xy`
`=(-8)^2-2.15`
`=34`
`->D`
`12)(2x-5)^2-4(x-2)^2=0`
`->(2x-5)^2-(2x-4)^2=0`
`->(2x-5-2x+4)(2x-5+2x-4)=0`
`->4x-9=0`
`->x=9/4`
`->B`
Hãy giúp mọi người biết câu trả lời này thế nào?
Bảng tin
0
338
0
đêm nay anh tuyệt lắm