

Làm giúp em câu c với ạ
Hãy luôn nhớ cảm ơn và vote 5*
nếu câu trả lời hữu ích nhé!
Đáp án+Giải thích các bước giải:
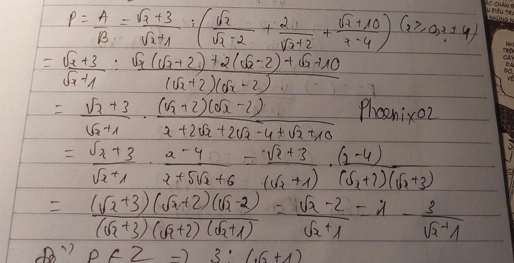
`P = A/B = (\sqrt{x}+3)/(\sqrt{x}+1) : ( \sqrt{x}+3)/(\sqrt{x}-2)` ĐKXĐ `x \ne 4 ; x >= 0`
`=> P = (\sqrt{x}+3)/(\sqrt{x}+1) . (\sqrt{x}-2)/(\sqrt{x}+3)`
`=> P = (\sqrt{x}-2)/(\sqrt{x}+1) ( 1 )`
`( 1 ) <=> P - 1 = (\sqrt{x}-2)/(\sqrt{x}+1) - 1 = (-3)/(\sqrt{x}+1) < 0`
`=> P < 1 ( 2 )`
`( 1 ) <=> P + 2 = (\sqrt{x}-2)/(\sqrt{x}+1) + 2 = (3\sqrt{x})/(\sqrt{x}+1) >= 0`
`=> P >= -2 ( 3 )`
`( 2 ) ; ( 3 ) => 1 > P >= -2 và P in Z`
`=> P in { 0 ; -1 ; -2 }`
`+ P = 0 => (\sqrt{x}-2)/(\sqrt{x}+1) = 0 => x = 4` ( KTMĐKXĐ )
`+ P = -1 => (\sqrt{x}-2)/(\sqrt{x}+1) = -1 => \sqrt{x} - 2 = -\sqrt{x} - 1`
`=> 2\sqrt{x} = 1`
`=> x = 1/4` ( TMĐKXĐ )
`+ P = -2 => (\sqrt{x}-2)/(\sqrt{x}+1) = -2 => \sqrt{x} - 2 = -2\sqrt{x} - 2`
`=> 3\sqrt{x} = 0`
`=> x = 0` ( TMĐKXĐ )
` Vậy x in { 0 ; 1/4 } => P in Z`
Hãy giúp mọi người biết câu trả lời này thế nào?
Bảng tin
5205
5591
4779
Cái này kh thu hồi được nhé , trừ khi phải ghi thêm cái gì vào
13355
3395
10847
mk cựu mod đó bn
13355
3395
10847
bn lừa ai thế
5205
5591
4779
Cựu thì sao nhỉ ?
13355
3395
10847
thì mk cũng đã dùng tính năng này r
13355
3395
10847
ad cũng giới thiệu tính năng này có thể thu hồi từ người đưa ra yêu cầu
5205
5591
4779
Mình có yêu câu đâu bạn , để mình nhờ bạn mình .
10057
686
7375
Khoá bình luận đi thủy , nổ tb