

cứu tới bài nì với sos
Hãy luôn nhớ cảm ơn và vote 5*
nếu câu trả lời hữu ích nhé!
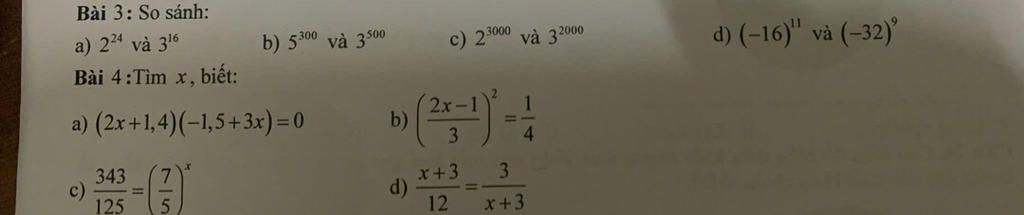
Bài `3:`
`a)``2^24` và `3^16`
Ta có:`2^24=(2^3)^8=8^8`
`3^16=(3^2)^8=9^8`
Vì `8^8<9^8`
`=>2^24<3^16`
Vậy `2^24<3^16`
`b)``5^300` và `3^500`
Ta có:`5^300=(5^3)^100=125^100`
`3^500=(3^5)^100=243^100`
Vì `125^100<243^100`
`=>5^300<3^500`
Vậy `5^300<3^500`
`c)``2^3000` và `3^2000`
Ta có:`2^3000=(2^3)^1000=8^1000`
`3^2000=(3^2)^1000=9^1000`
`=>2^3000<3^2000`
Vậy `2^3000<3^2000`
`d)``(-16)^11` và `(-32)^9`
Ta có:`16^11=(2^4)^11=2^44`
`32^9=(2^5)^9=2^45`
Vì `2^44<2^45`
`=>16^11<32^9`
`=>(-16)^11>(-32)^9`
Vậy `(-16)^11>(-32)^9`
Bài `4:`
`a)``(2x+1,4)(-1,5+3x)=0`
`=>`$\left[\begin{matrix} 2x+1,4=0\\-1,5+3x=0\end{matrix}\right.$
`=>`$\left[\begin{matrix} 2x=-1,4\\3x=1,5\end{matrix}\right.$
`=>$\left[\begin{matrix} x=-0,7\\x=0,5\end{matrix}\right.$
Vậy `x in {-0,7;0,5}`
`b)``((2x-1)/3)^2=1/4`
`=>((2x-1)/3)^2=(+-1/2)^2`
`=>[((2x-1)/3=1/2),((2x-1)/3=-1/2):}`
`=>[(2(2x-1)=3),(2(2x-1)=-3):}`
`=>[(2x-1=3/2),(2x-1=-3/2):}`
`=>[(2x=5/2),(2x=-1/2):}`
`=>[(x=5/4),(x=-1/4):}`
Vậy `x in {5/4;-1/4}`
`c)``343/125=(7/5)^x`
`=>343/125=(7/5)^3`
`=>x=3`
Vậy `x=3`
`d)``(x+3)/12=3/(x+3)(x ne -3)`
`=>(x+3)(x+3)=12.3`
`=>(x+3)^2=36`
`=>(x+3)^2=(+-6)^2`
`=>[(x+3=6),(x+3=-6):}`
`=>[(x=3(tmđk)),(x=-9(tmđk)):}`
Vậy `x in {3;-9}`
Hãy giúp mọi người biết câu trả lời này thế nào?
Đáp án:
Bài `3:`
`a) 2^24` và `3^16`
Ta có:
`2^24 = (2^3)^8 = 8^8`
`3^16 = (3^2)^8 = 9^8`
Vì `8 < 9`
`=> 8^8 < 9^8`
Nên: `2^24 < 3^16`
`b) 5^300` và` 3^500`
Ta có:
`5^300 = (5^3)^100 = 125^100`
`3^500 = (3^5)^100 = 243^100`
Vì `125 < 243`
`=> 125^100 < 243^100`
Nên: `5^300 < 3^500`
`c) 2^3000` và `3^2000`
Ta có:
`2^3000 = (2^3)^1000 = 8^1000`
`3^2000 = (3^2)^1000 = 9^1000`
Vì `8 < 9`
`=> 8^1000 < 9^1000`
Nên: `2^3000 < 3^2000`
`d) (-16)^11` và `(-32)^9`
Ta có:
`(-16)^11 = -[2^4]^11 = -2^44`
`(-32)^9 = -[2^5]^9 = -2^45`
Vì `44 < 45`
`=> -2^44 > -2^45`
Nên: `(-16)^11 > (-32)^9`
Bài `4:`
`a) (2x + 1,4)(-1,5 + 3x) = 0`
`Th1:`
`2x + 1,4 = 0`
`2x = -1,4`
`2x = -0,7`
`Th2:`
`-1,5 + 3x = 0`
`3x = 1,5`
`x = 0,5`
Vậy `x \in {-0,7 ; 0,5}`
`b) ((2x - 1)/3)^2 = 1/4`
`((2x - 1)/3)^2 = (+-1/2)^2`
`Th1:`
`(2x - 1)/3 = 1/2`
`2x - 1 = 3/2`
`2x = 5/2`
`x = 5/4`
`Th2:`
`(2x - 1)/3 = -1/2`
`2x - 1 = -3/2`
`2x = -1/2`
`x = -1/4`
Vậy `x \in {5/4 ; -1/4}`
`c) 343/125 = (7/5)^x`
`(7/5)^3 = (7/5)^x`
`3 = x`
Vậy `x = 3`
`d) (x + 3)/12 = 3/(x + 3)`
`(x + 3)^2 = 3 . 12`
`(x + 3)^2 = 36`
`(x + 3)^2 = (+-6)^2`
`Th1:`
`x + 3 = 6`
`x = 3`
`Th2:`
`x + 3 = -6`
`x = -6`
Vậy `x \in {3 ; -6}`
Hãy giúp mọi người biết câu trả lời này thế nào?
Bảng tin