

Hãy luôn nhớ cảm ơn và vote 5*
nếu câu trả lời hữu ích nhé!
Đáp án:
`↓`
Giải thích các bước giải:
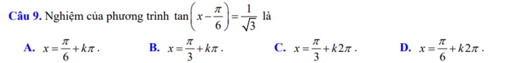
`tan (x - (\pi)/6) = 1/(\sqrt{3})`
`⇔tan (x - (\pi)/6) = tan ((\pi)/6)`
`⇔x - (\pi)/6 = (\pi)/6 +k\pi` `(k∈Z)`
`⇔x = (\pi)/6 +(\pi)/6 +k\pi``(k∈Z)`
`⇔ x= (\pi)/3 +k\pi``(k∈Z)`
Vậy `S={(\pi)/3 +k\pi |k∈Z}`
`->` Chọn B
Hãy giúp mọi người biết câu trả lời này thế nào?
`tan( x - \pi/6 ) = 1/(\sqrt{3})`
`<=> tan( x - \pi/6) = tan( \pi/6)`
`<=> x - \pi/6 = \pi/6 + k\pi` `( k in ZZ)`
`<=> x = \pi/3 + k\pi` `( k in ZZ)`
Vậy `S = { \pi/3 + k\pi | k in ZZ}`
`->` Chọn đáp án `bb{B}`
Hãy giúp mọi người biết câu trả lời này thế nào?
Bảng tin