Vui lòng chỉ chọn một câu hỏi
Hoidap247.com Nhanh chóng, chính xác
+
Danh mục mới
0
2360
Hãy luôn nhớ cảm ơn và vote 5* nếu câu trả lời hữu ích nhé!
3360
111
821
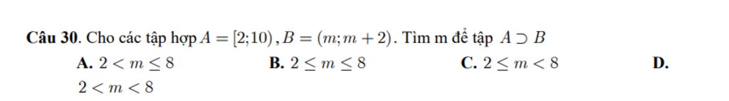
Để `B subset A` thì:
`{(m>2),(m+2<=10):}`
`<=> {(m>2),(m<=8):}`
`<=> 2<m<=8`
`-> A`
Hãy giúp mọi người biết câu trả lời này thế nào?
Bảng tin
Gửi yêu cầu Hủy