

Tìm điều kiện xác định
Trình bày chi tiết giúp mik
Hãy luôn nhớ cảm ơn và vote 5*
nếu câu trả lời hữu ích nhé!
$#nobody$
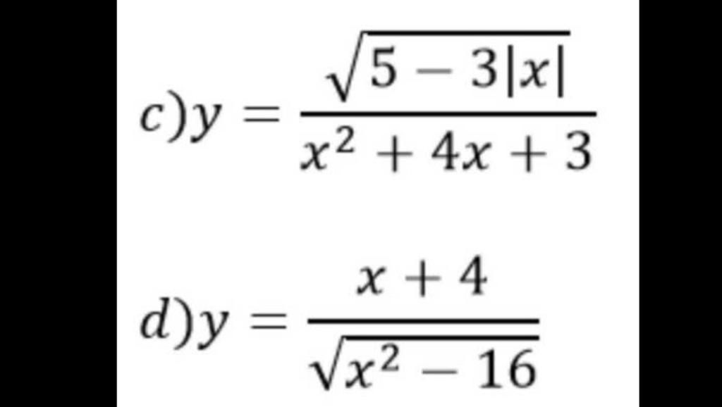
`c)`
ĐKXĐ:
`{(5 - 3absx >= 0),(x^2 + 4x + 3 \ne 0):} <=> {(absx <= 5/3),(x \ne - 1 \ne - 3):}`
`<=> {(- 5/3 <= x <= 5/3),(x \ne - 1):}`
`d)`
ĐKXĐ:
`x^2 - 16 > 0 <=> (x - 4)(x + 4) > 0`
`+) {(x - 4 > 0),(x + 4 > 0):} <=> {(x > 4),(x > - 4):} <=> x > 4`
`+) {(x - 4 < 0),(x + 4 < 0):} <=> {(x < 4),(x < - 4):} <=> x < - 4`
`=> x \notin [- 4 ; 4]`
Hãy giúp mọi người biết câu trả lời này thế nào?

$#gialong209$
`c)` ĐKXĐ:
`{(5 - 3absx >= 0),(x^2 + 4x + 3):} <=> {(- 5/3 <= x <= 5/3),(x \ne - 1):}`(vì `x` luôn `\ne - 3)`
`d)` ĐKXĐ:
`x^2 - 16 > 0 <=> x < - 4` hoặc `x > 4`
Áp dụng:
`absa <= b(b >= 0) <=> - b <= a <= b`
`a^2 - b^2 > 0(b > 0) <=> a < - b` hoặc `a > b`
Kẻ `HF bot BC`
Có : `{(HF bot BC),(AB bot BC)):} => AB`//`HF`
Xét `Delta ABC bot` tại `B` có `AB = 2a ; BC = a => AC = asqrt5`
Mà `HC = 3/4 AC = (3asqrt5)/4`
Xét `Delta ABC` có `AB // HF (1)=> (FC)/(BC) = (HC)/(AC)`
`<=> (FC)/a = ((3asqrt5)/4)/(asqrt5) = 3/4 => FC = (3a)/4`
Xét `Delta SHC bot` tại `H` có :
`SC = sqrt(SH^2 + HC^2) = sqrt(9/4 a^2 + 45/16 a^2) = 9/4 a`
`(1) => (HF)/(AB) = (HC)/(AC) <=> (HF)/(2a) = 3/4 <=> HF = 3/2 a`
Xét `Delta SHF bot` tại `H` có :
`SF = sqrt(SH^2 + HF^2) = sqrt(9/4 a^2 + 9/4 a^2) = (3asqrt2)/2`
Xét `Delta SFC` có :
`+) SF^2 + FC^2 = 9/2 a^2 + 9/16 a^2 = 81/16 a^2 = SC^2`
`=> SF bot BC` tại `F`(Pytago đảo)
`[S,BC,A] = (HF,SF) = \hat(SFH)`
Xét `Delta SFH bot` tại `H` có `cos\hat(SFH) = (SH)/(SF) = (3/2 a)/((3asqrt2)/2) = (sqrt2)/2`
`=> \hat(SFH) = 45^0`
Hãy giúp mọi người biết câu trả lời này thế nào?

Bảng tin