

làm nhanh 5 sao luôn ạaaa
Hãy luôn nhớ cảm ơn và vote 5*
nếu câu trả lời hữu ích nhé!
`@``text{Bơ}`
`a) 7/6 - 1/6 : 2/3`
`= 7/6 - 1/6 . 3/2`
`= 7/6 - 1/4`
`= 14/12 - 3/12`
`= 11/12`
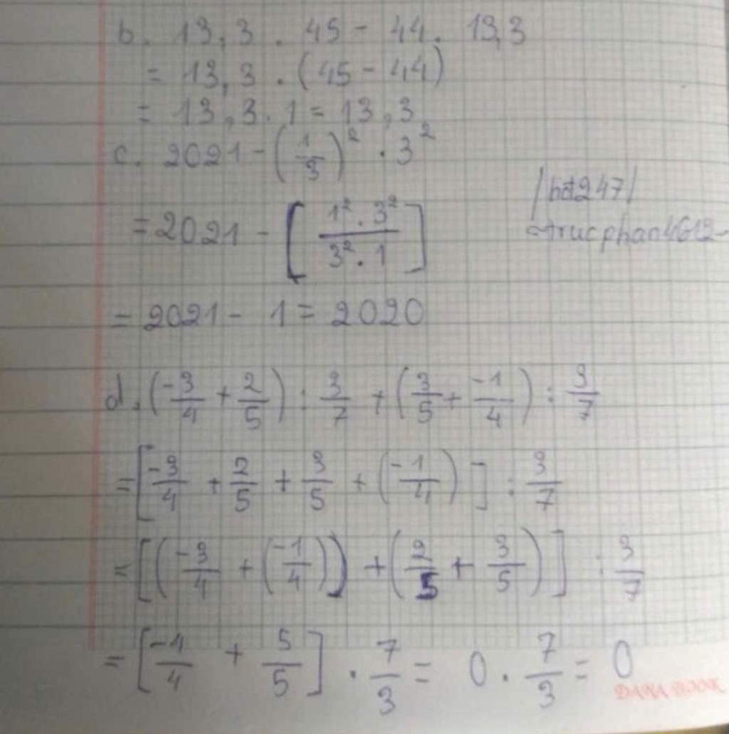
`b) 13,3 . 45 - 44 . 13,3`
`= 13,3 . (45 - 44)`
`= 13,3 . 1`
`= 13,3`
`c) 2021 - (1/3)^2 . 3^2`
`= 2021 - (1/3 . 3)^2`
`= 2021 - 1^2`
`= 2021 - 1`
`= 2020`
`d) ((-3)/4 + 2/5) : 3/7 + (3/5 + (-1)/4) : 3/7`
`= (-3/4 + 2/5) . 7/3 + (3/5 - 1/4) . 7/3`
`= 7/4 . [(-3/4 + 2/5) + (3/5 - 1/4)]`
`= 7/3 . [-3/4 + 2/5 + 3/5 - 1/4]`
`= 7/3 . [(-3/4 - 1/4) + (2/5 + 3/5)]`
`= 7/3 . [(-1) + 1]`
`= 7/3 . 0`
`= 0`
Hãy giúp mọi người biết câu trả lời này thế nào?

Đáp án:
Giải thích các bước giải:
~Nino-chan~
a. 7 - 1 : 2
6 6 3
= 7 - 1 . 3
6 6 2
= 7 - 1
6 4
= 28 - 6
24 24
= 22 = 11
24 12
Hãy giúp mọi người biết câu trả lời này thế nào?

Bảng tin