

Helppppppppp hằng đẳng thức giúp em vs em cần gấp
Hãy luôn nhớ cảm ơn và vote 5*
nếu câu trả lời hữu ích nhé!
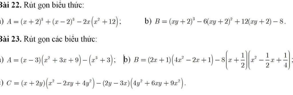
22.
a.
`A=....`
`=x^3+6x^2+12x+8+x^3-6x^2+12x-8-2x^3-24x`
`=0`
b.
`B=.....`
`=(xy+2-2)^3`
`=(xy)^3`
`=x^3y^3`
23.
a.
`A=....`
`=x^3-27-x^3-3`
`=-30`
b.
`B=.....`
`=8x^3+1-8(x^3+1/8)`
`=8x^3+1-8x^3-1`
`=0`
c.
`C=.....`
`=x^3+8y^3-(8y^3-27x^3)`
`=x^3+8y^3-8y^3+27x^3`
`=28x^3`
Hãy giúp mọi người biết câu trả lời này thế nào?
Đáp án `+` Giải thích các bước giải:
Bài `22:`
`a)` `A=(x+2)^3 +(x-2)^3 -2x(x^2 +12)`
`A=x^3 +6x^2 +12x+8+x^3 -6x^2 +12x-8-2x^3 -24x`
`A=(x^3 +x^3 -2x^3)+(6x^2 -6x^2)+(12x+12x-24x)+(8-8)`
`A=0`
`b)` `B=(xy+2)^3 -6(xy+2)^2 +12(xy+2)-8`
`B=(xy+2)^3 -3.(xy+2)^2 .2+3.(xy+2).2^2 -2^3`
`B=(xy+2-2)^3`
`B=x^3 y^3`
Bài `23:`
`a)` `A=(x-3)(x^2 +3x+9)-(x^3 +3)`
`A=x^3 -3^3 -x^3 -3`
`A=x^3 -27-x^3 -3`
`A=-30`
`b)` `B=(2x+1)(4x^2 -2x+1)-8(x+1/2)(x^2 -1/2 x+1/4)`
`B=(4x)^3 +1^3 -8[x^3 +(1/2)^3]`
`B=64x^3 +1-8x^3 -1`
`B=56x^3`
`c)` `C=(x+2y)(x^2 -2xy+4y^2)-(2y-3x)(4y^2 +6xy+9x^2)`
`C=x^3 +(2y)^3 -[(2y)^3 -(3x)^3]`
`C=x^3 +8y^3 -8y^3 +27x^3`
`C=28x^3`
Hãy giúp mọi người biết câu trả lời này thế nào?
Bảng tin
25
1810
16
mấy cái chấm chấm là đề bạn tự chép đề nhé mình lười qs