PH/HS Tham Gia Nhóm Lớp 10 Để Trao Đổi Tài Liệu, Học Tập Miễn Phí!
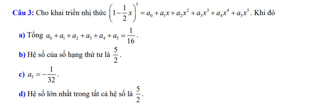
Câu 3: Cho khai triển nhị thức
1-;x| =+4x+a,x + ax +a_x* +a,y. Khi đó
a) Tong a +a+a₂ +α₂ +α₁₂ + a₂
b) Hệ số của số hạng thứ tư là
c) as
=-
1
32
5
2
=
1
16
d) Hệ số lớn nhất trong tất cả hệ số là