

Hãy luôn nhớ cảm ơn và vote 5*
nếu câu trả lời hữu ích nhé!
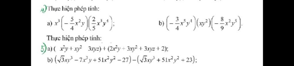
`4)`
`a)`
`x^3 (-5/4 x^2 y)(2/5 x^3 y^4)`
`=(-5/4 x^5 y)(2/5 x^3 y^4)`
`=-1/2 x^8 y^5`
`b)`
`(-3/4 x^5 y^4)(xy^2)(-8/9 x^2 y^5)`
`=(-3/4 x^6 y^6)(-8/9 x^2 y^5)`
`=2/3 x^8 y^11`.
`5)`
`a)`
`(x^2 y+xy^2 -3xyz)+(2x^2 y+3xy^2 +3xyz+2)`
`=(x^2 y+2x^2 y)+(xy^2 +3xy^2) + (-3xyz+3xyz)+2`
`=3x^2 y+4xy^2 +2`
`b)`
`(\sqrt{3}xy^3 - 7x^3 y+51x^2 y^2 -27) -(\sqrt{3}xy^3 +51x^2 y^2 +23)`
`=(\sqrt{3}xy^3 - \sqrt{3}xy^3) +(-7x^3 y)+(51x^2 y^2 - 51x^2 y^2) + (-27-23)`
`=-7x^3 y-50`.
Hãy giúp mọi người biết câu trả lời này thế nào?

Bảng tin