

Hãy luôn nhớ cảm ơn và vote 5*
nếu câu trả lời hữu ích nhé!
Đáp án:
`A(x) + B(x) = (3x^6 - 5x^4 + 2x^2 - 7) + (8x^6 + 7x^4 - x^2 + 11)`
`A(x) + B(x) = (3x^6 + 8x^6) + (7x^4 - 5x^4) + (2x^2 - x^2) + 11 - 7`
`A(x) + B(x) = 11x^6 + 2x^4 + x^2 +4`
Vậy `A(x) + B(x) = 11x^6 + 2x^4 + x^2 +4`
`B(x) + C(x) = (8x^6 + 7x^4 - x^2 + 11) + (x^6 + x^4 - 8x^2 + 6)`
`B(x) + C(x) = (8x^6 + x^6) + (7x^4 + x^4) + (-x^2 - 8x^2) + 11 + 6`
`B(x) + C(x) = 9x^6 + 8x^4 - 9x^2 + 17`
Vậy `B(x) + C(x) = 9x^6 + 8x^4 - 9x^2 + 17`
`A(x) + C(x) = (3x^6 - 5x^4 + 2x^2 - 7) + (x^6 + x^4 - 8x^2 + 6)`
`A(x) + C(x) = (3x^6 +x^6) + (-5x^4 + x^4) + (2x^2 - 8x^2) -7 + 6`
`A(x) + C(x) = 4x^6 - 4x^4 - 6x^2 -1`
Vậy `A(x) + C(x) = 4x^6 - 4x^4 - 6x^2 -1`
Giải thích các bước giải:
Hãy giúp mọi người biết câu trả lời này thế nào?
Đáp án+Giải thích các bước giải:
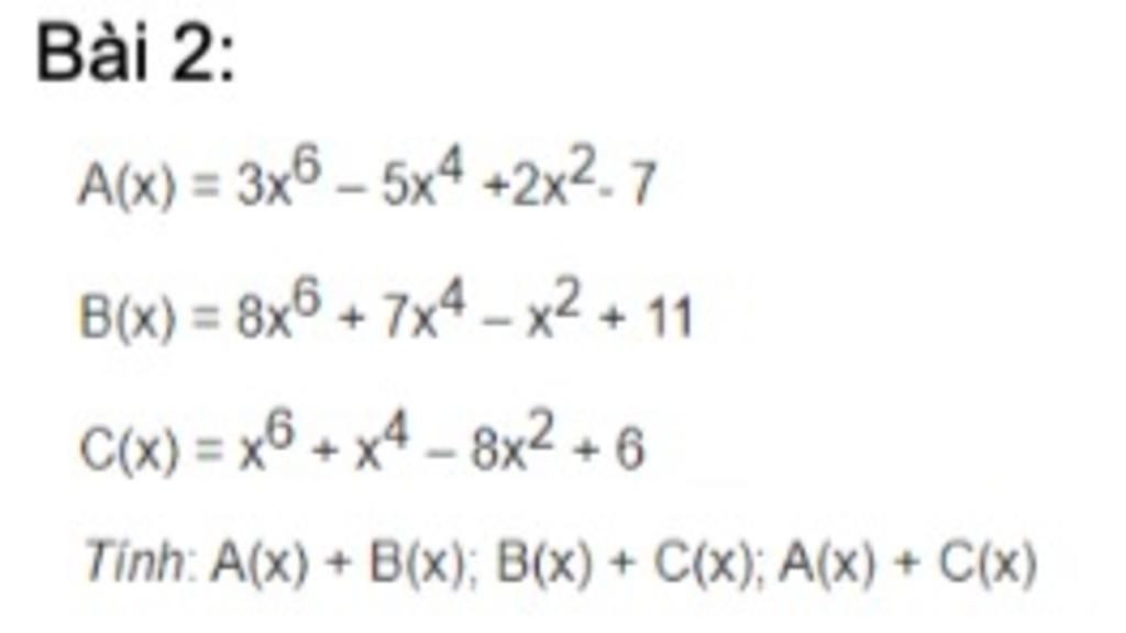
Bài 2:
`A(x) + B(x) = (3x^6 - 5x^4 + 2x^2 - 7) + (8x^6 + 7x^4 - x^2 + 11)`
`A(x) + B(x) = 3x^6 - 5x^4 + 2x^2 - 7 + 8x^6 + 7x^4 - x^2 + 11`
`A(x) + B(x) = (3x^6 + 8x^6) + (-5x^4 + 7x^4) + (2x^2 - x^2) + (-7 + 11)`
`A(x) + B(x) = 11x^6 + 2x^4 + x^2 + 4`.
`\text{_____________________________________________________________}`
`B(x) + C(x) = (8x^6 + 7x^4 - x^2 + 11) + (x^6 + x^4 - 8x^2 + 6)`
`B(x) + C(x) = 8x^6 + 7x^4 - x^2 + 11 + x^6 + x^4 - 8x^2 + 6`
`B(x) + C(x) = (8x^6 + x^6) + (7x^4 + x^4) + (-x^2 - 8x^2) + (11 + 6)`
`B(x) + C(x) = 9x^6 + 8x^4 - 9x^2 + 17`.
`\text{_____________________________________________________________}`
`A(x) + C(x) = (3x^6 - 5x^4 + 2x^2 - 7) + (x^6 + x^4 - 8x^2 + 6)`
`A(x) + C(x) = 3x^6 - 5x^4 + 2x^2 - 7 + x^6 + x^4 - 8x^2 + 6`
`A(x) + C(x) = (3x^6 + x^6) + (-5x^4 + x^4) + (2x^2 - 8x^2) + (-7 + 6)`
`A(x) + C(x) = 4x^6 - 4x^4 - 6x^2 - 1`.
Hãy giúp mọi người biết câu trả lời này thế nào?
Bảng tin
1970
31371
602
Xem lại bài (dòng cuối).