

Hãy luôn nhớ cảm ơn và vote 5*
nếu câu trả lời hữu ích nhé!


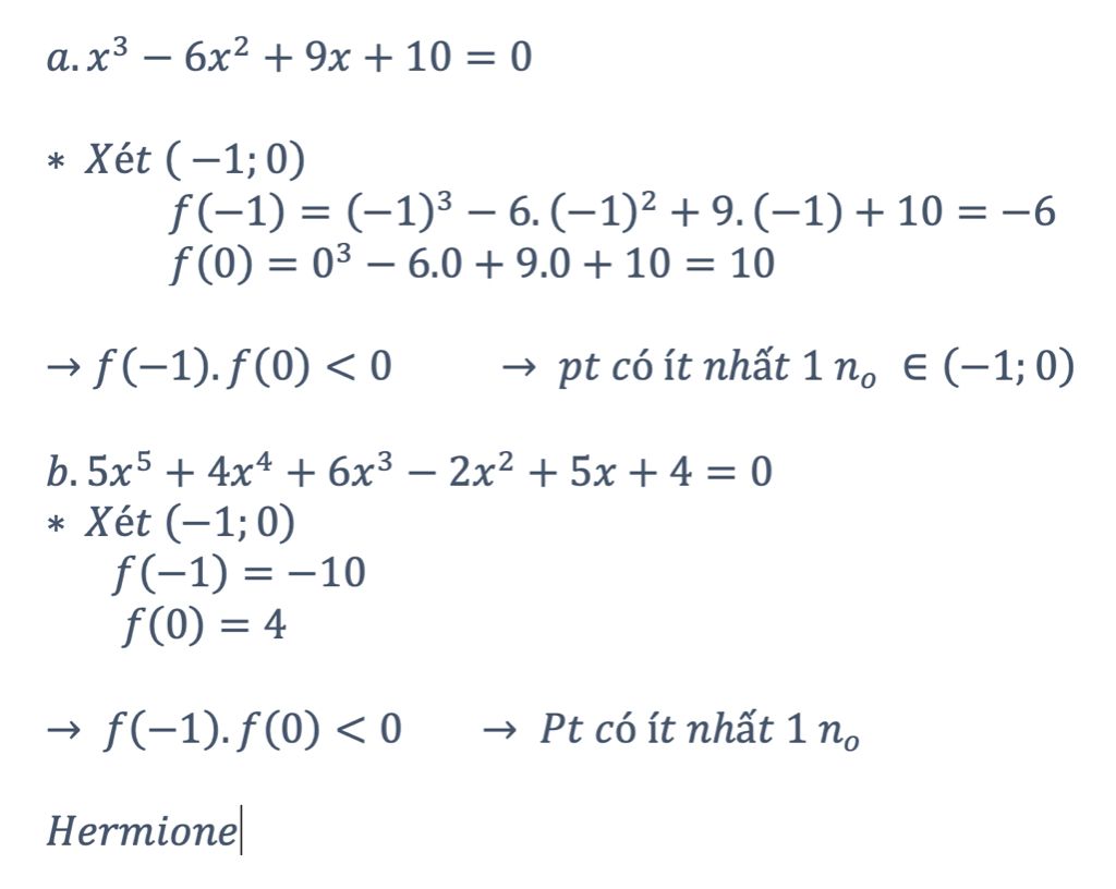
Đáp án:a, pt ${x^3} -6.{x^2}$+9x+10=0 luôn có nghiệm
b, pt $ 5.{x^5}+4.{x^4}+6.{x^3}-2.{x^2}$+5x+4=0 luôn có nghiệm
Giải thích các bước giải:
a, ${x^3} -6.{x^2}$ +9x+10=0
Đặt f(x)=${x^3}-6.{x^2}$+9x+10
D=R
Hàm số f(x) là hàm đa thức nên liên tục trên R
Ta có: f(-2)=-14; f(-1)=12
f(-2).f(-1)<0
$ \Rightarrow$ pt f(x)=0 có ít nhất 1 nghiệm trên (-2;-1)
$\leftrightarrow$ pt : ${x^3}-6.{x^2}$+9x+10 luôn có nghiệm
b, 5. ${x^5} +4.{x^4} +6.{x^3}-2.{x^2}$+5x+4=0
Đặt f(x)=5.${x^5}+4.{x^4}+6.{x^3}-2.{x^2}$+5x+4
D=R
Hàm số f(x) là hàm đa thức nên liên tục trên R
Ta có: f(0)=4; f(-1)=-10
f(-1).f(0)<0
$\Rightarrow$ pt f(x)=0 có ít nhất 1 nghiệm thuộc (-1;0)
$\leftrightarrow$ ptf(x)=0 luôn có nghiệm
Hãy giúp mọi người biết câu trả lời này thế nào?

Bảng tin