

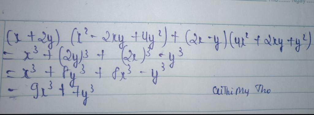
(x + 2y)(x^2-2xy+4y^2)+(2x-y)(4x^2+2xy+y^2)
phân tích đa thức thành nhân tử
Hãy luôn nhớ cảm ơn và vote 5*
nếu câu trả lời hữu ích nhé!
Ta có
`(x + 2y)(x^2-2xy+4y^2)=x^3 +(2y)^3=x^3+8y^3`
`(2x-y)(4x^2+2xy+y^2)=(2x)^3 -y^3 =8x^3 -y^3`
Nên
`(x + 2y)(x^2-2xy+4y^2)+(2x-y)(4x^2+2xy+y^2)=x^3+8y^3+8x^3-y^3`
`=(x^3+8x^3)+(8y^3-y^3)=9x^3+7y^3`
Hãy giúp mọi người biết câu trả lời này thế nào?

Bảng tin
0
56
0
có đúng ko b ?
303
119
313
ko đâu đừng tin :)
0
56
0
=)))
0
56
0
ủa r b làm lmj =0